Lesson 4: Algebraic Expressions

“In science, one tries to tell people, in such a way as to be understood by everyone, something that no one ever knew before. But in the case of algebra, it’s just the opposite.” Paul Dirac

“Algebra is but written geometry, and geometry is but figured algebra.” Sophie Germain

Introduction

Welcome back, glad you’ve returned to learn about algebra! In Lesson 3, you built a strong foundation with numbers and operations, mastering  numbers, arithmetic, and the order of operations to solve problems with confidence. Now, in Lesson 4, you’re about to embark on an exciting new adventure: algebraic expressions. These are the mathematical tools that let you capture the patterns of the universe, turning the numbers and operations you know into a language for describing everything from a stretched spring to the orbit of a planet.

Think of algebraic expressions as the sentences that tell the universe’s story. While numbers gave you values and operations let you combine them, expressions introduce symbols that represent the quantities in nature whose values are not known, we call them variables. With these, you can write the rules governing nature, all built on the arithmetic skills you practiced in Lesson 3. This lesson is your chance to see how your mathematical toolkit grows into a powerful way to explore physics.

We’ll begin with constants, variables, coefficients, and the expressions we can make with them, grounding these ideas in the number systems you explored in Lesson 3. Using your arithmetic know-how, you’ll learn to manipulate these expressions. You’ll discover how algebraic expressions bring physics to life.

Constants, Variables, Coefficients, Algebraic Expressions and Equations

Think about how you write the number three. You could use the digit “3” or the word “three.” Both are symbols that stand for the same idea: a specific quantity. In Lesson 3, you used digits like 3 or 5 and operations like addition or multiplication to solve problems, like calculating 3 + 5 = 8. But what if you want to describe a general rule, like the cost of buying some number of apples at $2 each plus a $5 fee? Writing “two times the number of apples plus five” every time is tedious and takes up space. Instead, you can use a single letter, like a, to represent the number of apples. This is the power of algebra: just as words and digits are symbols for numbers, single-letter symbols save time and let you write rules more efficiently.

From this chapter forward we shall begin using a notation that makes it easy to refer to a result. We will place a parenthesis for each expression with the chapter number and then we will count the expressions. So the first expression of this chapter will be denoted (4.1), the second (4.2), and so on.

Let’s try this with a shopping example. Suppose the cost of apples is “2 times the number of apples plus 5.” Using a letter like C for cost and a for the number of apples and the dot · for multiplication, you can write this as

l4_1.png

(4.1)

This short mathematical sentence lets you calculate the cost for any number of apples, like 3 or 10, without rewriting the whole rule. Just as the word “three” is a symbol for 3, the letter a is a symbol for any number of apples that you might choose. Now, let’s name the parts of this idea.

The numbers that stay fixed, like 2 and 5 in (4.1), are called constants because they don’t change. In mathematics, constants are essential—they might represent a fixed price or amount, like the $5 fee. The letter a, in this case standing for the number of apples that can vary, is called a variable. Variables are like placeholders; they let you write a general rule that works for many situations by substituting different values, just as you used specific numbers in Lesson 3.

In the expression (4.1), the 2 multiplying the variable a shows how much the variable contributes, like $2 per apple, and is called a coefficient.  For simplicity, we often write products like 2 · a without a multiplication dot, instead we understand that a simple space represent a product such as 2 a + 5. Any combination of constants, variables, coefficients, and operations (like addition or multiplication) is called an algebraic expression. For example, 2a + 5 is an algebraic expression that describes the total cost in our example.

When we set two expressions equal, like (4.1) we are stating that the value C and 2a + 5 are the same. Any statement where the quantities on both sides of the symbol = are the same is called an equation and the symbol = is called the equals sign. You will find that equations are a major part of theoretical physics. Finally, an expression with just one term, like 2 a, or even an exponent (also a single term) l4_2.png, is called a monomial. Monomials are a building block for more complicated expressions we’ll explore later.

Basic Rules of Expressions

You’ve just learned how to use symbols like a and C to write algebraic expressions, such as C = 2a + 5, capturing general patterns like the cost of apples. I now present, as a list, the basic rules of algebraic expression. These rules generalize the arithmetic you mastered in Lesson 3, extending those ideas to work with variables. These rules are listed in a clear, standard format you’ll find in any math book or online resource and making it easy to look them up elsewhere as you grow as a theoretical physicist. You can use any letters for variables—a, x, or even a Greek letter like alpha α—as long as you stay consistent within your problem. Think of this as your go-to guide for working with expressions, building on the symbols you’ve just mastered.

Rules for Addition

Rule 1: No matter what order you add terms, the sum is the same. For example, a + b=b + a. We call this the commutative property of addition.

Rule 2: You can collect terms in any order and the sum remains the same. For example, (a + b) + c=a+(b+ c). We call this the associative property of addition.

Rule 3: The sum of any term and 0 is always the term you started with. For example, 0+a=a. This is called the identity property of addition.

Rules for Multiplication

Rule 4: No matter what order you multiply factors the product is the same. For example, a b=b a. We call this the commutative property of multiplication.

Rule 5: You can collect factors in any order and the product remains the same. For example, (a b)c=a(b c). We call this the associative property of multiplication.

Rule 6: The product of any factor and 1 is always the factor you started with. For example, 1 a=a. This is called the identity property of multiplication.

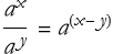
Rules for Powers

Rule 7: We can multiply two expressions having the same base, we add the powers. For example, l4_3.png.

Rule 8: When dividing two expressions with the same base, you subtract the exponent of the denominator from the exponent of the numerator. For example, l4_4.png.

Rule 9: When raising an expression with an exponent to another power, you multiply the exponents. For example, l4_5.png.

Rule 10: When raising a product to an exponent, you distribute the exponent to each factor. For example, l4_6.png.

Rule 11: When raising a quotient to an exponent, you distribute the exponent to both the numerator and the denominator. For example, l4_7.png.

Rule 12: Any non-zero number raised to the power of 0 equals 1. This is true except for l4_8.png, this is undefined.

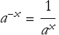
Rule 13: A negative exponent is represented by taking the reciprocal of the base raised to the positive exponent. For example, l4_9.png.

Rule 14: Any base raised to the power of 1 is the base itself. For example l4_10.png.

Terms and Definitions

Term/Definition 4.1 Constants: Fixed numbers in an expression that do not change (e.g., 2 and 5 in C = 2a + 5).

Term/Definition 4.2 Variable: A letter or symbol representing a quantity that can vary (e.g., a for number of apples, C for cost).

Term/Definition 4.3 Coefficient: The numerical factor multiplying a variable (e.g., 2 in 2a).

Term/Definition 4.4 Algebraic expression: A combination of constants, variables, coefficients, and operations (e.g., 2a + 5).

Term/Definition 4.5 Equation: A statement that two expressions are equal, using the equals sign = (e.g., C = 2a + 5).

Term/Definition 4.6 Equals sign (=): The symbol indicating two quantities are the same.

Term/Definition 4.7 Monomial: An algebraic expression with a single term (e.g., 2a or l4_11.png).

Assumptions (the implicit beliefs the author relies on)

Assumption 4.1: Symbols (digits, words, letters) are essential for representing quantities efficiently.

Assumption 4.2: Variables allow general rules to be written concisely and applied to many situations.

Assumption 4.3: Equations express equality of quantities and are central to theoretical physics.

Exercise 4.1: Begin with Term/Definition 4.1 and copy it into your notebook. Reflect on its meaning for a few minutes. Note any thoughts that come to mind. How would you explain this to someone sitting in front of you. Write this down. Then do this for each term/definition, and assumption.

Kinetic Energy

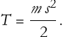
Imagine a ball rolling down a hill. The heavier the ball and the faster it rolls, the more energy it has to keep moving or push something out of its way. In Lesson 3, you learned that moving objects have a kind of energy called kinetic energy, calculated using their mass (how much material they have) and speed (how fast they move). We can write this as a mathematical rule using symbols, just like the cost equation C = 2a + 5 from earlier. Let’s use m for mass, s for speed, and T for kinetic energy. The equation is:

l4_12.png

(4.2)

This equation, called kinetic energy, shows how mass and speed create energy, with ½ as a constant coefficient, like the 2 in C = 2a + 5. In the International System of Units (hereafter referred to as SI), mass is measured in kilograms (symbolized as kg), like the amount of material in the rolling ball. Speed is measured in meters per second (symbolized as m/s), measuring how many meters (the SI unit of distance) the ball travels per second (the SI unit of time). Kinetic energy is measured in joules (symbolized as J), where 1 joule is the energy from a 1-kilogram object moving at 1 meter per second (1 J = 1 kg·m²/s²). For now, treat these as labels like dollars in C = 2a + 5, with full details in Lesson 13. This idea, explored by Gottfried Wilhelm Leibniz (1646–1716)—a German philosopher, mathematician, and polymath who made significant contributions to mathematics, physics, and philosophy; best known for co-inventing calculus (independently of Isaac Newton) and developing early concepts of energy in the 1680s, describes the energy of motion. We use T here, but you may see K or KE in other physics books, as it’s a standard abbreviation.

In Lesson 3, you saw kinetic energy as a volume, like a cube with sides related to mass and speed. Here, (4.2) is an algebraic equation, and you can use the rules from our previous section, like Rule 7 for l4_13.png, to work with it.

Terms and Definitions

Term/Definition 4.8 Kinetic energy: The energy possessed by a moving object due to its motion; depends on mass and speed.

Term/Definition 4.9 Mass (symbol m): The amount of material in an object; measures resistance to acceleration (inertia); the SI unit is the kilogram (kg).

Term/Definition 4.10 Speed (symbol s): Distance traveled per unit time; the SI unit is in meters per second (m/s).

Term/Definition 4.11 Joule (symbol J): The SI unit of energy; defined as 1 l4_14.png.

Term/Definition 4.12 SI (International System of Units): The standard system of units used in science (mass in kg, distance in m, time in s, etc.).

Assumptions (the implicit beliefs the author relies on)

Assumption 4.4: The formula l4_15.png accurately describes kinetic energy.

Exercise 4.2: Begin with Term/Definition 4.8 and copy it into your notebook. Reflect on its meaning for a few minutes. Note any thoughts that come to mind. How would you explain this to someone sitting in front of you. Write this down. Then do this for each term/definition, and assumption.

Exercise 4.3: An object has a mass of 4 kg, and a speed of 5 m/s, how many J of kinetic energy are there?

Exercise 4.4: A car has a mass of 1000 kg, and a speed of 10 m/s, how many J of kinetic energy are there?

Ohm’s Law

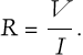
One simple application of equations in physics is the basic equation of electric circuits. It involves three quantities and a fundamental idea. The fundamental idea is that the quantity of electricity that something has is called its charge, and is represented by the upper-case italicized Q, Q. In SI charge is measured in Coulombs—the unit symbolized by the upper-case C. It is named for the French engineer and physicist Charles-Augustin de Coulomb (1736–1806), best known for his work on electricity and magnetism. Charge can be either positive of negative, and we will discuss that as we go along—this idea was discovered by the American polymath and scientist Benjamin Franklin (1706–1790), who conducted pioneering experiments on electricity. The first quantity of interest to us is the amount of charge that passes through a point along a wire in one second, this is called the electrical current, though it usually just called the current. Current is symbolized the upper-case italicized I, I, and is measured in Amperes, or just Amps—named for the French physicist and mathematician André-Marie Ampère (1775–1836), who made foundational contributions to the study of electromagnetism. The Amp is defined in SI as the passage of 1 C per second. The second of these quantities represents the ability to push or pull electricity through a wire, that we call voltage symbolized by the italicized V, V. If we think of a wire as an electrical pipe, then voltage is pressure forcing electricity through the pipe. Voltage is measured in units of the volt, V and this is defined as the ability to transfer 1 J of energy (see the previous section on Kinetic Energy) per C. The material that the wire is made of has a property that prevents the current from flowing, we call this resistance. The symbol of resistance is the italicized R, R. Resistance is measured in SI by the Ohm (symbolized by the upper-case Greek letter omega Ω, named for the German physicist and mathematician Georg Simon Ohm (1789–1854). In fact, the equation relating these quantities was discovered by Ohm in 1827 in his book titled “Die galvanische Kette, mathematisch bearbeitet” This translates to: “The Galvanic Circuit Investigated Mathematically”. His work laid the groundwork for understanding electrical circuits and earned him recognition, though not immediately; his law was initially met with skepticism but later became a cornerstone of electrical theory. The equation is,

l4_16.png

(4.3)

This equation is called Ohm’s Law. There are two equivalent ways of writing Ohm’s Law,

l4_17.png

(4.4)

and

l4_18.png

(4.5)

Terms and Definitions

Term/Definition 4.13 Charge (symbol Q): The quantity of electricity an object possesses; can be positive or negative; SI unit Coulomb (C).

Term/Definition 4.14 Coulomb (C): The SI unit of electric charge; named after the  Charles-Augustin de Coulomb (1736–1806).

Term/Definition 4.15 Current (symbol I): The amount of charge passing through a point in a wire per second; SI unit Ampere (A).

Term/Definition 4.16 Ampere (A or Amp): The SI unit of current; defined as 1 Coulomb per second; named after André-Marie Ampère (1775–1836).

Term/Definition 4.17 Voltage (symbol V): The “push” or ability to move charge through a wire (analogous to pressure in a pipe); SI unit Volt (V).

Term/Definition 4.18 Volt (V): The SI unit of voltage; defined as 1 Joule per Coulomb.

Term/Definition 4.19 Resistance (symbol R): The property of a material that opposes the flow of current; SI unit Ohm (Ω).

Term/Definition 4.20 Ohm (Ω): The SI unit of resistance; named after Georg Simon Ohm (1789–1854).

Term/Definition 4.21 Ohm’s Law: The equation V = I R (or equivalents I = V/R, R = V/I) relating voltage, current, and resistance in a circuit.

Assumptions (the implicit beliefs the author relies on)

Assumption 4.5: Electric circuits can be described by three fundamental quantities: charge, current, and voltage.

Assumption 4.6: Charge can be positive or negative (discovered by Franklin).

Exercise 4.5: Begin with Term/Definition 4.13 and copy it into your notebook. Reflect on its meaning for a few minutes. Note any thoughts that come to mind. How would you explain this to someone sitting in front of you. Write this down. Then do this for each term/definition, and assumption.

Problem 4.6: Research Ohm’s Law and write a short essay on how it was discovered. What results led to this becoming a law? Use the principles of physical laws from Lesson 2 for this.

Exercise 4.7: There is an electrical device that produces a specific quantity of resistance in a circuit called a resistor. If there is a current of 2 A that flows through a resistor, whose resistance is 5 Ω, how many volts are pushing across the resistor?

Exercise 4.8: In a circuit, we have 12 V and 3 Ω of resistance, how many A of current are flowing?

Exercise 4.9: In a circuit, we have 9 V and 3 A current, how many Ω of resistance are working against the current?

The Force of Gravity

We have all seen it happen. We hold something and then let go of it and the object falls to the ground. We can measure this effect. Our first question is, “How fast does it fall?” The rate at which something moves is called speed, denoted with a lower-case italicized s, s. In SI we measure speed in meters per second, m/s or m l4_19.png. We measure this and find that it at the end of 1 second of time it falls at a speed of about 10 m l4_20.png. After 2 seconds this speed changes to 20 m l4_21.png. After 3 seconds it is falling at a speed of 30 m l4_22.png. So the speed is increasing as time passes. We call a change in speed with time acceleration. We often use a lower-case italicized a, a to represent it. In SI acceleration is measured as meters per second per second, l4_23.png or m l4_24.png. It has been observed and experimentally verified this acceleration is constant for all objects falling near the surface of the Earth. We use the symbol, g, for this acceleration due to gravity. We can write an expression for the speed of an object after a specific passage of time given the initial speed, symbolized with the letter s and the subscript 0, l4_25.png, the acceleration due to gravity, and the passage of a number of seconds, t.

l4_26.png

(4.6)

Exercise 4.10: If an object is dropped from rest, calculate its speed after 2 seconds, 5 seconds, and 10 seconds of free fall.

Exercise 4.11: If an object is thrown upward at a rate of 2 units per second, calculate its speed after 2 seconds, 5 seconds, and 10 seconds of free fall. What happens to the sign of the speed?

Since gravity pulls objects downward, we can say that is exerts a force on an object. That is what makes it accelerate downwards. We can express this force algebraically. If we symbolize force with F, then,

l4_27.png

(4.7)

In SI we measure force in Newtons, N, where one Newton is the ability to accelerate 1 kg by 1 m l4_28.png.

Terms and Definitions

Term/Definition 4.22 Acceleration (symbol a): The rate of change of speed with time; the SI unit is meters per second squared l4_29.png or m l4_30.png).

Term/Definition 4.23 Acceleration due to gravity (symbol g): The constant acceleration of objects falling near Earth's surface (approximately 10 l4_31.png downward).

Term/Definition 4.24 Initial speed (symbol l4_32.png): The speed of an object at the start of timing (often chosen as t = 0).

Term/Definition 4.25 Time (symbol t): The duration of motion; the SI unit is the seconds (s).

Term/Definition 4.26 Force (symbol F): The push or pull causing acceleration; the SI unit is the Newton (N).

Term/Definition 4.27 Newton (N): The SI unit of force; defined as the force that accelerates 1 kg by 1 l4_33.png.

Term/Definition 4.28 Gravitational force (weight): The downward force due to gravity, expressed as F = -m g.

Assumptions (the implicit beliefs the author relies on)

Assumption 4.7: Objects fall toward Earth with constant acceleration when near the surface and in free fall (ignoring air resistance).

Assumption 4.8: Gravity acts downward (the negative direction by convention).

Assumption 4.9: Speed increases linearly with time during free fall from rest or initial speed.

Assumption 4.10: Force is required to cause acceleration (the is sometimes called Newton's second law of motion).

Assumption 4.11: Mass (m) is constant and positive.

Principles

Principle 4.1: Dropped objects accelerate downward due to gravity.

Principle 4.2: Gravity near the surface of the Earth exerts a downward force on objects, F = -m g (negative sign for direction).

Exercise 4.11: Begin with Term/Definition 4.22 and copy it into your notebook. Reflect on its meaning for a few minutes. Note any thoughts that come to mind. How would you explain this to someone sitting in front of you. Write this down. Then do this for each term/definition, assumption, and principle.

Hooke’s Law

Imagine squeezing a toy spring or stretching a rubber band. When you push or pull something, you apply a force, like the effort needed to move or change an object’s shape. We can write the force on a spring as a mathematical rule, just like the kinetic energy equation (4.2) or (4.3). Let’s use F for force, x for the distance the spring is stretched or compressed, and k for a constant based on the spring’s material. The equation is:

l4_34.png

(4.8)

This is called Hooke’s law—named for Robert Hooke (1635–1703), an English scientist, mathematician, and polymath who made significant contributions to physics, astronomy, and biology.

Terms and Definitions

Term/Definition 4.29 Force (symbol F): The push or pull applied to an object, capable of changing its motion or shape (e.g., squeezing a spring or stretching a rubber band).

Term/Definition 4.30 Displacement (symbol x): The distance a spring is stretched or compressed from its equilibrium position.

Term/Definition 4.31 Spring constant (symbol k): A constant depending on the spring’s material and stiffness; measures how much force is needed per unit displacement.

Term/Definition 4.32 Restoring force: The negative force in Hooke’s law that tends to return the spring to equilibrium (negative sign indicates direction opposite to displacement).

Assumptions (the implicit beliefs the author relies on)

Assumption 4.12: Springs (and elastic materials like rubber bands) obey a linear force-displacement relationship for small deformations.

Assumption 4.13: The spring constant k is positive and material-dependent.

Assumption 4.14: The equilibrium position is x = 0 (no force when unstretched/uncompressed).

Assumption 4.15: Hooke’s law is a good approximation for many real springs/rubber bands.

Principles

Principle 4.3: Elastic deformation (stretching/compressing springs) produces a restoring force.

Principle 4.4: Hooke’s law: The equation F = -k x, stating that the restoring force exerted by a spring is proportional to (and opposite to) its displacement.

Exercise 4.12: Begin with Term/Definition 4.29 and copy it into your notebook. Reflect on its meaning for a few minutes. Note any thoughts that come to mind. How would you explain this to someone sitting in front of you. Write this down. Then do this for each term/definition, assumption, and principle.

Exercise 4.13 : A spring has a spring constant of 50 units and is stretched 0.2 m, how many N of force are exerted on the spring?

Averages

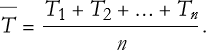
Imagine you take three tests and score 80, 90, and 100 points. To find a typical score, you add them up and divide by the number of tests. This is called an average, a way to summarize a group of numbers. Let’s use l4_35.png for the collection of values and n for the number of values. So we would write the last element of the sequence as l4_36.png. The average, symbolized by l4_37.png (read “x-bar”), is,

l4_38.png

(4.9)

For example, the average of 80, 90, and 100 is (80 + 90 + 100) / 3 = 270 / 3 = 90. This equation, called the arithmetic mean, combines addition and division, like the operations in our “Basic Rules of Expressions” section. The idea of averaging was used by mathematicians like Carl Friedrich Gauss in the 1800s to summarize data in science.

Terms and Definitions

Term/Definition 4.33 Average (or arithmetic mean): A way to summarize a collection of values by adding them and dividing by the number of values; symbolized by x-bar (l4_39.png).

Term/Definition 4.34 Arithmetic mean: The formal name for the average calculated as sum of values divided by number of values.

Term/Definition 4.35 Subscript notation (e.g., l4_40.png, l4_41.png, …, l4_42.png): Used to label individual values in a collection or sequence.

Assumptions (the implicit beliefs the author relies on)

Assumption 4.15: A “typical” score or representative value for a set of numbers is best found by the arithmetic mean.

Exercise 4.14: Begin with Term/Definition 4.33 and copy it into your notebook. Reflect on its meaning for a few minutes. Note any thoughts that come to mind. How would you explain this to someone sitting in front of you. Write this down. Then do this for each term/definition and assumption.

Exercise 4.15:  You buy apples at three prices: 2 dollars, 3 dollars, and 4 dollars. What is the average price per apple in dollars?

Exercise 4.16:  A car travels at speeds of 10 meters per second, 12 meters per second, and 14 meters per second over three equal time intervals. Calculate the average speed in meters per second.

The Ideal Gas Law

Imagine a balloon filled with a gas, like helium, that spreads out to fill its entire space. The gas molecules move randomly, bumping into the balloon’s walls, creating a force. Since this force is spread out overt an area we call it a pressure, and is symbolized with the italicized upper-case P, P. In SI force is measured in pascals symbolized as Pa—named for Blaise Pascal (1623–1662), a French mathematician, physicist, philosopher, and inventor who made significant contributions to mathematics, fluid mechanics, and probability theory. Another idea is the number of particles (atoms or molecules) in a substance is equivalent to the number of atoms in 12 grams of carbon 12 is 1 mole, symbolized as 1 mol. This number of particles is called Avogadro’s number, l4_43.pngl4_44.png—named for Amedeo Avogadro (1776–1856), an Italian scientist who proposed Avogadro’s Law (1811): Equal volumes of gases at the same temperature and pressure contain equal numbers of particles. We can see that there are way too many particles to follow. If we were to assign a kinetic energy to each particle, we could average those kinetic energies and write,

l4_45.png

(4.10)

So we have defined the average kinetic energy of the molecules of this gas, and it can be applied to any substance. There is a special name for this quantity, we call it temperature., and is symbolized also by T. We have only so many letters and it makes sense to use T. In SI temperature is measured in Kelvins, symbolized as K—named for William Thomson, 1st Baron Kelvin (1824–1907) a British physicist, mathematician, and engineer who made foundational contributions to thermodynamics and electromagnetism.

If we take the product of the number of moles and the temperature, this gives us a very special quantity. If we take the quantity of energy and divide by this product we get a constant. In SI this constant is 8.314 joules per mole-kelvin (J/(mol·K)), and we call it the gas constant.

We can write a mathematical rule for how a gas behaves,

l4_46.png

(4.11)

This is called the Ideal Gas Law. This law combines discoveries by Robert Boyle (1627–1691) an Anglo-Irish natural philosopher, chemist, physicist, and a founding figure of modern chemistry and experimental science; Jacques Alexandre César Charles (1746–1823) was a French physicist, inventor, and balloonist who made significant contributions to the study of gases; and Benoît Paul Émile Clapeyron (1799–1864) a French engineer and physicist who made significant contributions to thermodynamics, building on Pascal’s, Avogadro’s, and Kelvin’s work.

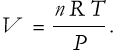
Equivalent statements of the ideal gas law are

l4_47.png

(4.12)

l4_48.png

(4.13)

Terms and Definitions

Term/Definition 4.36 Pressure (symbol P): Force per unit area exerted by gas molecules colliding with container walls; SI unit Pascal (Pa).

Term/Definition 4.37 Pascal (Pa): The SI unit of pressure; named after Blaise Pascal (1623–1662).

Term/Definition 4.38 Mole (symbol mol): The amount of substance containing Avogadro’s number of particles; defined as the number of atoms in 12 grams of carbon-12.

Term/Definition 4.39 Avogadro’s number: Approximately 6.02214076 × l4_49.png particles per mole; named after Amedeo Avogadro (1776–1856).

Term/Definition 4.40 Average kinetic energy (symbol l4_50.png): The arithmetic mean of individual particle kinetic energies (l4_51.png).

Term/Definition 4.41 Temperature (symbol T): The average kinetic energy of gas molecules; SI unit Kelvin (K).

Term/Definition 4.42 Kelvin (K): The SI unit of temperature; named after William Thomson, Lord Kelvin (1824–1907).

Term/Definition 4.43 Gas constant (symbol R): A universal constant ≈ 8.314 J/(mol·K); obtained as energy divided by (moles × temperature).

Assumptions (the implicit beliefs the author relies on)

Assumption 4.16: Gas molecules move randomly and collide with container walls, producing pressure.

Assumption 4.17: Too many particles exist to track individually, so statistical averages (temperature as average kinetic energy) are necessary.

Assumption 4.18: Temperature is fundamentally the average kinetic energy of particles.

Principles

Principle 4.5: Gases fill their containers uniformly; random molecular motion creates pressure (force/area).

Principle 4.6 Avogadro’s Law: Equal volumes of gases at the same temperature and pressure contain equal numbers of particles.

Principle 4.7 Ideal Gas Law: P V = n R T (or rearrangements P = n R T / V, V = n R T / P).

Exercise 4.17: Begin with Term/Definition 4.36 and copy it into your notebook. Reflect on its meaning for a few minutes. Note any thoughts that come to mind. How would you explain this to someone sitting in front of you. Write this down. Then do this for each term/definition, assumption, and principle.

Exercise 4.18: A quantity of 0.5 moles of gas occupies a volume of 2 l4_52.png at a temperature of 300 K, how many Pa of pressure are generated?

Exercise 4.19: A quantity of 2 moles of gas experiences pressure of 101325 Pa at a temperature of 273 K, how many l4_53.png of volume are occupied?

Newton’s Second Law of Motion

In his magnum opus, Sir Isaac Newton, “Philosophiæ Naturalis Principia Mathematica”, wrote laws of motion. Newton’s Second Law of Motion states that the acceleration of an object is directly proportional to the net force acting on it and inversely proportional to its mass. Mathematically, this relationship is expressed as,

l4_54.png

(4.14)

This law essentially describes how an object will move when forces are applied to it. If you double the force while keeping the mass constant, the acceleration will also double. Conversely, if you double the mass while keeping the force constant, the acceleration will be halved.

Practice Writing Expressions

Exercise 4.20: Write an expression for the number of apples in as barrel.

Exercise 4.21: Write an expression for the cost of an item at a store.

Exercise 4.22: Write the sum of a number and 5.

Exercise 4.23: Write the difference between a number and 10.

Exercise 4.24: Write twice the sum of a number and 6.

Exercise 4.25: Write 5 more than twice a number.

Exercise 4.26 Write the product of a number and one less than that number.

Exercise 4.27: Write half the sum of a number and its square.

Exercise 4.28: Write the difference between the square of a number and the number itself, then multiplied by 3.

Combining Like Terms

Combining like terms is a fundamental step in simplifying algebraic expressions. This process involves identifying terms that have the same variable raised to the same power and then adding or subtracting their coefficients. For example, in the expression

l4_55.png

(4.15)

the terms 3 x, 5 x, and 7 x are like terms because they all contain the variable x to the first power. You can combine these to get

l4_56.png

(4.16)

Where -2 y  remains separate because y is not like x. Thus, the simplified expression of (4.14) becomes

l4_57.png

(4.17)

Combining like terms reduces the complexity of expressions.

Exercise 4.29: Combine like terms:
1) 4 a + 3 a -a
2) 7 b -3 b +2 b
3) 5x+3+2x-1
4) 9y-7+4y+2
5) l4_58.png

The Distributive Property

We have already seen the distributive property in arithmetic. It is much clearer as an algebraic expression. This expression makes it clear why algebraic expressions can allow us to understand things by pattern matching.

l4_59.png

(4.18)

Adding and Subtracting Expressions

Adding and subtracting algebraic expressions involves combining like terms. To add or subtract these expressions, you first identify the like terms. For addition, you simply add the coefficients of these like terms together, keeping the variable and its exponent unchanged. For example, to add

l4_60.png

(4.19)

and,

l4_61.png

(4.20)

you combine the x terms and the y terms separately, resulting in

l4_62.png

(4.21)

When subtracting, you distribute the negative sign across all terms in the expression being subtracted, effectively changing the sign of each term before combining like terms. So, for

l4_63.png

(4.22)

you distribute the negative to get

l4_64.png

(4.23)

then combine like terms to get

l4_65.png

(4.24)

This process of adding and subtracting algebraic expressions is crucial for simplifying more complicated expressions.

Polynomials

Polynomials are basically algebraic expressions that involve numbers and variables, where you can add, subtract, or multiply, but you can't divide by the variable. For example,

l4_66.png

(4.25)

is a polynomial with the variable x and the coefficients 2, 3, and -4 tell us how much of each part of x to use. The highest power of the variable in the expression, in this case 2, gives us the degree of the polynomial. Polynomials of degree 2 are called quadratics. Polynomials of degree 3 are called trinomials. Polynomials are extremely useful because they are closed under addition and multiplication, thus closure is a property of sets in general—not just sets of numbers.

Terms and Definitions

Term/Definition 4.44 Like terms: Terms in an algebraic expression that have the same variable raised to the same power (e.g., 3x, 5x, 7x).

Term/Definition 4.45 Combining like terms: The process of adding/subtracting coefficients of like terms to simplify expressions.

Term/Definition 4.46 Adding algebraic expressions: Combining like terms by adding their coefficients.

Term/Definition 4.47 Subtracting algebraic expressions: Distributing a negative sign across the subtracted expression, then combining like terms.

Term/Definition 4.48 Polynomial: An algebraic expression involving numbers and variables with non-negative integer exponents; operations limited to addition, subtraction, and multiplication (no division by variable).

Term/Definition 4.49 Coefficient (in polynomial): The numerical factor of a term (e.g., 2 in l4_67.png).

Term/Definition 4.50 Degree (of polynomial): The highest exponent of the variable in the polynomial.

Term/Definition 4.51 Quadratic (polynomial): A polynomial of degree 2.

Term/Definition 4.52 Trinomial: A polynomial of degree 3.

Assumptions (the implicit beliefs the author relies on)

Assumption 4.19: Like terms are identifiable by matching variables and exponents.

Principles

Principle 4.8 Newton’s Second Law of Motion: The law stating that acceleration is directly proportional to net force and inversely proportional to mass; expressed as F = m a.

Principle 4.9: Doubling force doubles acceleration (mass constant); doubling mass halves acceleration (force constant).

Principle 4.10: Distributive property holds algebraically: a(b + c) = a b + a c .

Exercise 4.30: Begin with Term/Definition 4.44 and copy it into your notebook. Reflect on its meaning for a few minutes. Note any thoughts that come to mind. How would you explain this to someone sitting in front of you. Write this down. Then do this for each term/definition, assumption, and principle.

Operations on Polynomials

Operations on polynomials include addition, subtraction, multiplication, and division, each following specific algebraic rules. To add or subtract polynomials, you combine like terms, which means adding or subtracting the coefficients of terms with the same variable and exponent. For example, adding

l4_68.png

(4.26)

and

l4_69.png

(4.27)

gives

l4_70.png

(4.28)

after combining like terms.

Polynomial multiplication involves distributing each term of one polynomial to every term of another, following the distributive property of algebra. When you multiply polynomials, you multiply each term in the first polynomial by each term in the second, then combine like terms to simplify the result. For simple expression involving two terms, called binomials. For instance, to multiply

l4_71.png

(4.29)

by

l4_72.png

(4.30)

you use a general method that we can call FOIL (first, outer, inner, last). The first is 2 x times x, or l4_73.png. The outer is 2 x times -1, or -2  x. The inner is 3 times x, or 3 x. Last is 3 times -1, or -3. So we end up with

l4_74.png

(4.31)

In general we write

l4_75.png

(4.32)

For polynomials with more terms, you apply a similar approach but distribute each term in one polynomial across all terms of the other, resulting in a polynomial of higher degree than either of the original polynomials.

Polynomial division is a method akin to division used for numbers, but applied to polynomials to divide one polynomial by another. The process involves dividing the leading term of the dividend (the polynomial being divided) by the leading term of the divisor (the polynomial by which we’re dividing), to determine the first term of the quotient. You then multiply this term by the entire divisor, subtract from the dividend, and repeat the process with the new polynomial (the result of the subtraction). This continues until the degree of the remainder is less than the degree of the divisor or until you reach zero. For example, dividing

l4_76.png

(4.33)

starts by dividing l4_77.png by x. This results in x and this will be the first term in the quotient. Then we multiply x+2 by x. This gives us l4_78.png. We subtract this from the dividend. This gives us 3 x+6, the new dividend. We then divide the leading term by 3, this becomes the second term of the quotient, and that is now x+3. We now multiply x+2 by 3, 3 x+6. We subtract the dividend by this result, that leaves 0, so we are done. The quotient is x+3. We can then test this by multiplying the divisor and the quotient, in this case it equals the original dividend.

Terms and Definitions

Term/Definition 4.53 Binomial: A polynomial with exactly two terms (e.g., 2x + 3).

Term/Definition 4.54 FOIL: A mnemonic for multiplying binomials: First, Outer, Inner, Last terms.

Term/Definition 4.55 Dividend: The polynomial being divided.

Term/Definition 4.56 Divisor: The polynomial by which we divide.

Term/Definition 4.57 Quotient: The result of polynomial division (polynomial part).

Term/Definition 4.58 Remainder: The final polynomial left after division when degree < divisor's degree.

Assumptions (the implicit beliefs the author relies on)

Assumption 4.20: Leading terms dominate the division process.

Principles

Principle 4.11 Addition/Subtraction of polynomials: Combining like terms by adding/subtracting coefficients of terms with the same variable and exponent.

Principle 4.12 Multiplication of polynomials: Distributing each term of one polynomial to every term of the other, then combining like terms.

Principle 4.13: For binomials, use FOIL (First, Outer, Inner, Last) to systematically multiply terms.

Principle 4.14: Polynomial multiplication increases degree (sum of degrees of factors).

Principle 4.15 Polynomial division: A process similar to long division for numbers; divide leading terms. Then multiply the quotient term by entire divisor.  Then subtract from the current dividend.  Then repeat with new polynomial.  Stop when remainder degree is less than the divisor degree.

Exercise 4.31: Begin with Term/Definition 4.53 and copy it into your notebook. Reflect on its meaning for a few minutes. Note any thoughts that come to mind. How would you explain this to someone sitting in front of you. Write this down. Then do this for each term/definition, assumption, and principle.

Exercise 4.32: Evaluate these expressions:
1) l4_79.png and l4_80.png.
2) l4_81.png from l4_82.png.
3) Multiply x+3 by x-2.
4) Multiply l4_83.png by x+4.
5) Multiply l4_84.png by l4_85.png.
6) Divide l4_86.png by x-2.

Factoring

Rewriting polynomials in terms of simpler polynomials and/or monomials is what we call factoring polynomials. Factoring polynomials is a crucial skill in algebra, allowing us to simplify expressions. One of the first steps in factoring is identifying and factoring out the Greatest Common Factor (GCF) from all terms in the polynomial. This method involves finding the largest number or variable that divides into each term, then dividing each term by this factor to place it outside the parentheses.

Exercise 4.33: Factor by the GCF in each expression:
1) l4_87.png.
2) l4_88.png.
3) l4_89.png.
4) l4_90.png.
5) l4_91.png.
6) l4_92.png.

How do we factor the sum of squares?

l4_93.png

(4.34)

does not factor into a product of simpler polynomials in any simple way involving real numbers. What about those magical complex numbers? It turns out that

l4_94.png

(4.35)

Problem 4.34: Work this out in detail to verify it for yourself.

Note that we are multiplying a complex number by its complex conjugate. Symbolically, we can define a complex number as

l4_95.png

(4.36)

We can then define the complex conjugate of z as,

l4_96.png

(4.37)

We call a product such as l4_97.png a conjugate product.

What about the difference of squares? It turns out that this does factor nicely,

l4_98.png

(4.38)

What about sums of cubes?

l4_99.png

(4.39)

and, similarly, for differences of cubes,

l4_100.png

(4.40)

For quadratics, or trinomials of the form,

l4_101.png

(4.41)

a common method is splitting the middle term, where you decompose the middle term into two terms whose coefficients multiply to a c and add to b.

Grouping is another useful technique, especially for polynomials with four or more terms. By grouping terms in pairs and finding the GCF for each pair, you can often find a common factor to distribute out, simplifying the polynomial further. Polynomial division can be employed when you suspect or know a polynomial has a linear factor like x-c. Dividing the polynomial by this factor can reveal other factors.

Moreover, factoring can involve recognizing and using patterns, such as perfect square trinomials, which factor as l4_102.png. There’s also the method of trial and error, where you might try different combinations of factors to see if they produce the original polynomial when multiplied.

In some cases, factoring might require consideration of complex numbers, especially when real number factoring isn’t possible. Here, polynomials might be factored over the complex numbers, revealing roots that are not real. Lastly, polynomial identities, like expansions of binomials to higher powers, can be used for factoring when the polynomial matches these patterns.

Remember, the complexity of the polynomial might necessitate using more than one method, and not all polynomials can be factored over the real numbers; some are considered prime or irreducible in this context.

Terms and Definitions

Term/Definition 4.59 Greatest Common Factor (GCF): The largest number or variable expression that divides every term in the polynomial.

Term/Definition 4.60 Sum of squares: An expression l4_103.png that does not factor over real numbers but factors as (a + b i)(a - b i) over complex numbers.

Term/Definition 4.61 Conjugate product: The product l4_104.png (real number).

Term/Definition 4.62 Difference of squares: An expression l4_105.png that factors as (a + b)(a - b).

Term/Definition 4.63 Sum of cubes: An expression l4_106.png that factors as l4_107.png.

Term/Definition 4.64 Difference of cubes: An expression l4_108.png that factors as l4_109.png.

Term/Definition 4.65 Splitting the middle term: Decomposing the linear term (b x) into two terms whose coefficients multiply to a c and add to b.

Term/Definition 4.66 Perfect square trinomial: A trinomial that factors as l4_110.png(e.g., l4_111.png).

Term/Definition 4.67 Irreducible (or prime polynomial): A polynomial that cannot be factored further over the given number system (e.g., real numbers).

Assumptions (the implicit beliefs the author relies on)

Assumption 4.21: Factoring simplifies expressions and is a core algebraic skill.

Assumption 4.22: Every polynomial can be factored to some extent (at least GCF).

Assumption 4.23: Some polynomials (e.g., sum of squares) are irreducible over reals but factor over complexes.

Principles

Principle 4.16 Grouping: A factoring technique for polynomials with four or more terms; group terms in pairs, factor GCF from each pair, then factor common binomial.

Exercise 4.35: Begin with Term/Definition 4.59 and copy it into your notebook. Reflect on its meaning for a few minutes. Note any thoughts that come to mind. How would you explain this to someone sitting in front of you. Write this down. Then do this for each term/definition, assumption, and principle.

Exercise 4.36: Factor each expression:
1) l4_112.png.
2) l4_113.png.
3) l4_114.png.
4) l4_115.png.
5) l4_116.png.
6) l4_117.png.
7) l4_118.png.
8) 4 a b +2 a+6 b+3.
9) l4_119.png.
10) l4_120.png.

Sums of Forces

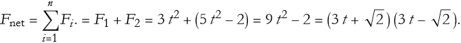
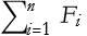
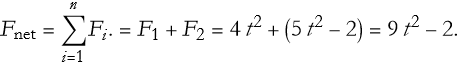
Let’s say that you have an object that is being pulled or pushed by two forces. It turns out that we can simply add forces. The total force is the sum of all of the forces acting on the object. We call this the net force. When we have an sum of ordered variables, we can use the Greek letter sigma, , to represent the sum of n terms. So we write the sum of n terms beginning with the first term,

l4_121.png

(4.42)

For example, if we write l4_122.png and l4_123.png, then the net force is,

l4_124.png

(4.43)

We can factor this particular case, since it is the the difference of squares, in this case

l4_125.png

(4.44)

Rational Expressions

A fraction where both the numerator and denominator are polynomials is called a rational expression. Given the polynomials P and Q rational expressions have the form,

l4_126.png

(4.45)

so long as Q0, note that is the same as saying that something does not equal something else. For example,

l4_127.png

(4.46)

is a rational expression. These expressions behave much like numerical fractions, meaning you can simplify them by factoring the numerator and denominator to cancel common factors, add or subtract them by finding a common denominator, or multiply and divide them by applying the rules of fractions directly to the polynomials. You must always watch for values that make the denominator zero, as such rational expressions cannot be defined. It is also advisable to attempt to simplify all rational expressions before further manipulation (remove common factors).

Rules of Rational Expressions

We can write the rules for rational expressions, extending the list we began above.

Rule 15: Adding rational expressions,

l4_128.png

(4.47)

Rule 16: Subtraction rational expressions,

l4_129.png

(4.48)

Rule 17: Multiplying rational expressions,

l4_130.png

(4.49)

Rule 18: Dividing rational expressions,

l4_131.png

(4.50)

Terms and Definitions

Term/Definition 4.68 Net force (symbol l4_132.png): The total (sum) of all individual forces acting on an object.

Term/Definition 4.69 Sigma notation (∑): The Greek letter sigma used to represent summation; l4_133.pngmeans l4_134.png.

Term/Definition 4.70 Rational expression: A fraction where both numerator and denominator are polynomials (P/Q, with Q 0).

Assumptions (the implicit beliefs the author relies on)

Assumption 4.24: Simplifying rational expressions by canceling common factors is always valid (provided no division by zero).

Principles

Operations on rational expressions follow fraction rules:  

Addition: common denominator (P/Q + R/S = (P S + R Q)/(Q S)).  
Subtraction: common denominator with negative (P/Q - R/S = (P S - R Q)/(Q S)).  
Multiplication: numerator × numerator / denominator × denominator ((P/Q) × (R/S) = P R/Q S).  
Division: multiply by reciprocal ((P/Q) ÷ (R/S) = (P/Q) × (S/R) = P S/Q R).

Exercise 4.26:
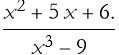
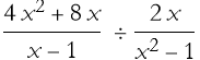
1) Simplify l4_135.png. Is there any value of x that is excluded? What is it?
2) Simplify l4_136.png. Is there any value of x that is excluded? What is it?
3) Evaluate l4_137.png.
4) Evaluate l4_138.png
5) Evaluate l4_139.png.
6) Evaluate l4_140.png.
7) Evaluate l4_141.png.
8) Evaluate l4_142.png.

Physical Laws as Expressions

As we have seen in this chapter, and that we may recall from Lesson 2, physical laws are often written in symbolic—algebraic—form. In this way we can better analyze the laws and tailor their form to fit the problem at hand. We can even derive new expressions. For example, we have already discussed Newton’s second law of motion, we now repeat that formula,

l4_143.png

(4.51)

Here F is the force, m the mass, and a the acceleration. What happens if we state that the only force acting on an object is that causing it to fall, where

l4_144.png

(4.52)

Since the forces are the same, the two expressions must be equal to one another,

l4_145.png

(4.53)

The masses are a common factor and so they cancel out,

l4_146.png

(4.54)

If the acceleration due to gravity is pointing downwards, then g is approximately -10  m l4_147.png, symbolically we write, g≈-10 m l4_148.pngthis becomes,

l4_149.png

(4.55)

This confirms our assertion that the acceleration is that which causes to object to fall, and it is independent of the mass of the object.

Summary

Write a summary of this lesson as an exercise.

For Further Study

I. M. Gelfand, A. Shen, (1993), Algebra, Birkhauser. This is a fantastic book on basic algebra, I can think of few that are better.

Navy Education and Training Professional Development and Technology Center, (1980) Mathematics, Basic Math and Algebra, NAVEDTRA 144139, Reprinted in 1985 (available for free at the Internet Archive https://archive.org/details/US_Navy_Training_Course_-_Mathematics_Basic_Math_and_Algebra). This is the first of a comprehensive set of manuals for training sailors in basic math. This is very good, though much of the equipment specified is horribly out of date, they are still good as examples.

Created with the Wolfram Language