Lesson 3: Numbers and Operations

“In mathematics, you don’t understand things. You just get used to them.” John von Neumann

“Mathematics is the language with which God has written the universe.” Galileo Galilei

Introduction

Greetings! Welcome to the foundational realm of Numbers and Operations—the very alphabet of the language of physics. In the quest to unravel the mysteries of the universe, from the possibility that information is the fundamental element of reality to the vast expanding universe, understanding numbers and how they interact is not just fundamental—it’s your key to unlocking the laws and theories of nature.

In physics, numbers are not just counters—they are the quantifiers of reality. They tell us how much, how many, how fast, or how far. But to wield these numbers effectively, we must master certain operations:

Addition and Subtraction are the basic tools for conservation laws, where we balance energy, momentum, or charge in our equations.

Multiplication and Division are the silent architects behind understanding force, acceleration, or the scaling of physical phenomena with different parameters.

In this lesson, you’ll see numbers and their operations not just as mathematical tools but as the very fabric of theoretical physics. This journey is more than learning math; it’s about gaining the language to converse with the universe itself. So, prepare to manipulate numbers in ways that will shape your understanding of reality, challenge your creativity, and—perhaps—lead you to the next groundbreaking insight in physics. Let’s dive in!

Bins, Counting, and Natural Numbers

In the realm of physics, understanding the world often boils down to organizing, counting, and recognizing the patterns in the numbers we deal with.

We often sort the objects around us so we can put them away. In the kitchen we put forks into one slot within a drawer, spoons into another, knives into a third, and so on. In physics, we can also place objects—even data—into specific categories. We might put the weight of objects into one bin, and we might put the volume of a set of objects into another. We call such categories or sets bins.

The most useful kind of data is numerical. How do we get numerical data? We count things. For example, if we want to know how many forks we have in our fork bin, we need to count them. However, counting isn’t just about how many; it’s also about understanding how many ways things can happen. By counting, physicists can predict probabilities, understand how systems behave with many parts, or even figure out how likely it is for certain events to occur. We call the number of objects in a bin or set as the cardinal number of that bin or set.

Numbers that form a sequence 1, 2, 3, and so on are what we call natural numbers. All numbers describing cardinal numbers of sets or bins are natural numbers (at least we have not yet found any contradictions to that idea in our studies up to now). If we can count something, that quantity of something is a natural number.

Terms and Definitions

Term/Definition 3.1 Bins: Categories or sets used to organize objects or data (e.g., separating forks, spoons, knives in a drawer, or grouping weights and volumes in physics).

Term/Definition 3.2 Numerical data: The most useful kind of data, obtained primarily through counting.

Term/Definition 3.3 Counting: The process of determining how many objects are in a bin/set; extends beyond mere quantity to understanding ways things can happen (e.g., for probabilities or system behavior).

Term/Definition 3.4 Cardinal number: The number of objects in a bin or set (represents “how many”).

Term/Definition 3.5 Natural numbers: Numbers forming the sequence 1, 2, 3, … (used to describe cardinal numbers of sets or bins).

Assumptions (the implicit beliefs the author relies on)

Assumption 3.1: Physics fundamentally involves organizing, counting, and recognizing patterns in numbers.

Assumption 3.2: Organizing objects/data into categories (bins) is a natural and useful way to understand the world, analogous to everyday sorting.

Assumption 3.3: Numerical data (from counting) is the most valuable for physics.

Assumption 3.4: All countable quantities in physics (so far studied) correspond to numbers, with no known contradictions.

Assumption 3.5: Counting provides insight not just into quantity but also into probabilities, multi-part systems, and event likelihoods.

Principles

Principle 3.1: Understanding physics often reduces to organizing data into categories (bins), counting elements within them, and identifying patterns in the resulting numbers.

Principle 3.2: Prioritize numerical data obtained through counting, as it is the most effective for analysis.

Principle 3.3: Cardinal numbers (from counting) describe “how many” objects are in any set or bin.

Principle 3.4: Natural numbers are the appropriate tool for expressing the cardinal numbers of bins or sets.

Principle 3.5: Counting extends beyond simple enumeration—it enables predictions about probabilities and complex system behavior.

Exercise 3.1: Begin with Term/Definition 3.1 and copy it into your notebook. Reflect on its meaning for a few minutes. Note any thoughts that come to mind. How would you explain this to someone sitting in front of you. Write this down. Then do this for each term/definition, assumption, and principle.

Atomic Numbers

How do we use numbers in physics? Here is a good example; atoms are the fundamental building blocks of all normal matter. Each atom consists of a dense nucleus, made up of protons and neutrons, orbited by a cloud of electrons. Protons carry a positive charge, electrons a negative one, and neutrons are neutral. Electrons are crucial for chemical interactions, determining how atoms bond to form molecules or solids.

When we count the number of protons in an atom we learn a lot about it. This quantity is called the atomic number of an atom. The atoms that represent each chemical element is unique as far as we know. Atoms can be organized by their atomic numbers; with hydrogen having one, oxygen with eight, and so on.

How Many Natural Numbers?

At first glance, this question might seem trivial: the natural numbers are just 1, 2, 3, and so on. But, if we delve a little deeper, we then enter a realm where infinity meets the tangible world of physics.

We get tired of writing out the words natural numbers all the time, so we need to invent a symbol for them. We use symbols all the time. In fact we have been using them the previous two lessons. Every word that we use is the symbol for an idea. Someone who has studied the language aspects of mathematics can look at an expression and read it as if it were a statement in words. We will be using mathematical symbols a lot, so you better get used to it. We symbolize the set of natural numbers by the double-struck N, N. As it turns out, there is no largest natural number. We can always add another one on the end of the list. We call any set with this property as being infinite. It is important to understand that while we symbolize infinity with the symbol ∞, it in no way represents any number. Thus, ∞ takes on the role as a place holder. Thus we can write N as {1,2,3,...,∞}. Here the ellipses (...) represents all of the natural numbers we did not write down. The ∞ symbol tells us the list never ends.

Zero and Whole Numbers

You look into a room, and nobody is there. How many people are there? We cannot use any of the natural numbers to answer that question. We must invent a new number. Fortunately, one has already been invented. It is zero, 0. Zero is the cardinal number of the empty bin or set.

If we combine zero and the set of natural numbers, then we get a new set, we call it the set of whole numbers and use the double-struck W, W.

Representing Whole Numbers on a Number Line

I will assume that you have some idea of what a line is. Visualizing natural numbers on a line helps us understand their sequence, the concept of infinity, and how they relate to each other. On a number line, each natural number occupies a distinct, equally spaced position to the right of zero.

Graphics:Whole Numbers on a Line

The arrow at the end symbolizes that there are always more natural numbers beyond any given point, illustrating the concept of infinity in a tangible way.

Addition and Brackets

Pick a whole number. Now pick another whole number. If we start at the first whole number and count by the second whole number the result is what we call the sum of the two numbers. Say our first whole number is 4 and the second is 7, the sum is 7 more than 4, or 11. We can write this symbolically as 4 + 7 = 11. We call this operation addition. As you may already know, addition is symbolized with the + symbol. The act of addition is adding. Each quantity being added is called a term. If we want to add more than two terms, we enclose two terms in a kind of bracket called a parenthesis, (). If we take our previous example and add 5 to it, we would write (4 + 7) + 5 = 11 + 5 = 16. We can have levels of brackets, in addition to parentheses, we then have square brackets [], and curly brackets {}. Note that when we write out any mathematical operation, the written statement is what we call an expression.

We can represent addition on a number line, too. Here we have the representation of the sum of 4 and 7.

l3_2.gif

Terms and Definitions

Atomic number: The number of protons in an atom’s nucleus; uniquely identifies each chemical element (hydrogen = 1, oxygen = 8, etc.).
Term/Definition 3.6 Natural numbers: The infinite sequence 1, 2, 3, … (symbolized by ℕ); used for counting and as cardinal numbers of sets.

Term/Definition 3.7 Infinite (set): A set with no largest element; you can always add another one (property of ℕ).

Term/Definition 3.8 Zero (0): The cardinal number of the empty set or bin; the number representing “nobody/nothing is there.”

Term/Definition 3.9 Whole numbers: The set formed by combining zero with the natural numbers (symbolized by 𝕎 or W); includes 0, 1, 2, 3, …

Term/Definition 3.10 Number line: A visual representation where whole numbers are placed on a line segment at distinct, equally spaced positions to the right of zero, with an arrow indicating infinity.

Term/Definition 3.11 Sum: The result of starting at one whole number and counting forward by another.

Term/Definition 3.12 Addition: The operation of combining two or more whole numbers to find their sum; symbolized by +.

Term/Definition 3.13 Adding: The act of performing addition.

Term/Definition 3.14 Term: Each individual quantity being added.

Term/Definition 3.15 Parenthesis/parentheses (): Brackets used to group terms in addition (or other operations).

Term/Definition 3.16 Square brackets []: Brackets used for nesting or grouping in expressions. By convention we will use square brackets to contain one or more parentheses.
Term/Definition 3.17 Curly brackets {}: Brackets used for nesting or grouping in expressions. By convention we will use curly brackets to contain one or more square brackets.

Term/Definition 3.18 Expression: A written mathematical statement representing an operation (e.g., 4 + 7 = 11).

Assumptions

Assumption 3.6: Atoms are composed of protons, neutrons, and electrons, with protons determining the element via atomic number.

Assumption 3.7: Chemical elements are uniquely identified by their atomic number.

Assumption 3.8: Natural numbers are infinite and have no largest member.

Assumption 3.9: Zero is a necessary invention for representing the absence of items (cardinal number of empty sets).

Assumption 3.10: Whole numbers adequately describe all counting situations encountered so far in physics.

Assumption 3.11: Addition is intuitively understood as repeated counting forward.

Assumption 3.12: Symbolic notation (ℕ, 𝕎, +, =, brackets) and visual tools (number line) are effective for representing numbers and operations.

Assumption 3.13: The number line with an arrow adequately conveys the concept of infinity.

Principles

Principle 3.6: Physics relies heavily on counting and numbers; atomic number is a prime example of how counting protons defines elements.

Principle 3.7: Natural numbers (1, 2, 3, …) are infinite—there is no largest one (symbolized ℕ, with ellipsis and ∞ as placeholder).

Principle 3.8: Zero is the cardinal number of emptiness and must be included to form whole numbers (𝕎).

Principle 3.9: Visualize whole numbers on a number line: zero at the start, positive integers spaced to the right, arrow indicating endless continuation (infinity).

Principle 3.10: Addition is defined by starting at one whole number and counting forward by another; the result is the sum.

Principle 3.11: Use symbolic notation: + for addition, = for equality, and various brackets ((), [], {}) for grouping multiple terms.

Principle 3.12: Any written mathematical operation forms an expression.

Principle 3.13: Addition can be represented visually on the number line (move right from the first term by the amount of the second).

Exercise 3.2: Begin with Term/Definition 3.6 and copy it into your notebook. Reflect on its meaning for a few minutes. Note any thoughts that come to mind. How would you explain this to someone sitting in front of you. Write this down. Then do this for each term/definition, assumption, and principle.

Exercise 3.3: If you have never done it, write out a table with ten columns numbers 1-10, and ten row numbered 1 to 10. Fill in the empty spaces with the sum of the corresponding vertical and horizontal numbers. We can call this, reasonably enough, an addition table.

Exercise 3.3: Write out ten sets of three whole numbers. Write out the sum of each set.

Rules of Addition

For now we will consider that there are four rules of addition that we can never break. These rules form the basis of all higher levels of mathematics.

Rule #1: No matter what order you add terms, the sum is the same. For example, 3 + 6=6 + 3=9. We call this the commutative property of addition.

Rule #2: You can collect terms in any order and the sum remains the same. For example, (3 + 6) +4 = 3 + (6 + 4) =13. We call this the associative property of addition.

Rule #3: The sum of any term and 0 is always the term you started with. For example, 0 + 5 = 5. This is called the identity property of addition. We can also say that 0 is the identity element for addition.

Rule #4: Every sum of whole numbers is also a whole number. This is called the closure property of addition.

Terms and Definitions

Term/Definition 3.19 Commutative property of addition: The rule that the order of terms does not affect the sum (3 + 2 = 2 + 3).

Term/Definition 3.20 Associative property of addition: The rule that the grouping of terms does not affect the sum (3 + 2) + 4 = 3 + (2 + 4).

Term/Definition 3.21 Identity property of addition: The rule that adding zero to any term leaves the term unchanged (3 + 0 = 3).

Term/Definition 3.22 Identity element for addition: Zero (0), because it satisfies the identity property.

Term/Definition 3.23 Closure property of addition: The rule that the sum of any two whole numbers is always another whole number.

Assumptions (the implicit beliefs the author relies on)

Assumption 3.14: Addition on whole numbers obeys exactly these four unbreakable rules.

These four properties are foundational and sufficient for building all higher mathematics.

Whole numbers are closed under addition (no sums fall outside the set).

Zero behaves specially as an additive identity.

Order and grouping of addition are flexible without changing the result.

Principles

Principle 3.14: Addition on whole numbers must always satisfy four inviolable rules: commutativity, associativity, identity (with zero), and closure.

Principle 3.15 Commutative property: The sum is independent of term order.

Principle 3.16 Associative property: The sum is independent of grouping (parentheses).

Principle 3.17 Identity property: Zero is the unique additive identity—adding it changes nothing.

Principle 3.18 Closure property: The whole numbers are closed under addition—any sum remains a whole number.

Principle 3.19: These properties form the unbreakable foundation for all further mathematics built on addition.

Exercise 3.4: Begin with Term/Definition 3.23 and copy it into your notebook. Reflect on its meaning for a few minutes. Note any thoughts that come to mind. How would you explain this to someone sitting in front of you. Write this down. Then do this for each term/definition, assumption, and principle.

Total Photon Count Given a Number of Sources

Electromagnetism describes the interaction between electricity and magnetism. Imagine it as a dance between two things that are pulling or pushing in different directions: electric charges create electric fields. Electric fields exert a force that can push or pull other charges. This force can cause the charges to move. The field exists everywhere you might want to look for it. Moving charges produce electric currents that generate magnetic fields. These magnetic fields exert a corresponding force on moving charges or magnets.

A disturbance in the electromagnetic field that moves, or propagates, in an organized way is what we call an electromagnetic wave. According to quantum theory this wave is carried along by a subatomic particle that we call a photon. Such waves in the electromagnetic field are what we call light. So the photon is the fundamental particle of light and electromagnetism. In a mysterious way, light is a form of electromagnetism.

An example of addition in physics is when we want to count the number of photons entering a telescope from multiple stars. Each star will produce a number of photons that we can count. If we add up the counts from each star, then we will know how many photons should be entering the telescope. We can compare this to the total photon count. If there are more photons that we can account for , then you should be looking for the source of the excess photons. If there are fewer than expected, then you must look for the reason for this deficit.

Subtraction

If we count backwards from some whole number, called the minuend, by another whole number, called the subtrahend, we are left with the difference. We use the symbol - for this operation that we call subtraction. For example, 6-4=2.

So long as the subtrahend is equal to or smaller than the minuend we can define the difference. However, if this is not the case, then the difference is undefined. In this way, we cannot establish a closure property of subtraction for the whole numbers. Similarly, the order of subtraction matters and thus subtraction of whole numbers cannot be considered commutative.

Exercise 3.5: Write out ten sets of two whole numbers. Write out the difference of each set.

Integers

Ideally, we want all operations to exhibit closure for our set of numbers. If this does not occur, then we need to invent a system of numbers where the operation is closed. Subtraction is not closed under the set of whole numbers. How do we fix this problem. If we think hard enough, you might find the solution if you live in a place where the temperature gets very cold. If the temperature is 10° below zero, we write it as -10°. We can say that these negative numbers are just like natural numbers, but in the negative direction on a number line. The set of all positive and negative numbers, along with zero, is collectively called the set of integers denoted with the double-struck Z, Z. Why Z? The German word for numbers is zahlen, and the tradition held as German mathematicians began using it.

How Many Negative Integers?

Just as with natural numbers, we can always include another negative number, so we can place the infinity symbol as a place holder on the negative side too, -∞.

Addition and Subtraction—Integers

Addition of integers is handled just like for whole numbers, subtraction is accomplished by simply adding a negative number, 4 + (-6)=4-6=-2. Note that while subtraction is not closed for the set of whole numbers, with integers it is just another form of addition, so it is closed with respect to integers.

Multiplication

If we want to increase a quantity by itself a number of times we call that multiplication. The result is called the product. The numbers involved in multiplication are called factors. We use two symbols to indicate that we are multiplying quantities, × and ·. If we increase something by no times then the answer is 0. For example, 6 × 0=0. If we increase a quantity by itself a single time, then it remains unchanged. For example, 6×1=6. Note that this tells us that 1 is the identity element for multiplication. Beyond these simple cases it is like adding something to itself a number of times. For example, 6+6+6+6+6=6×5=30. If you multiply a positive number by a negative number, the result is a negative number. For example, 4 × -5=-20. Multiplying two negative numbers yields a positive number. For example, -5 ×-3=15.

Terms and Definitions

Term/Definition 3.24 Electromagnetism: The interaction between electricity and magnetism, described as a “dance” between electric charges and magnetic fields.

Term/Definition 3.25 Electric charges: Entities that create electric fields and can be pushed or pulled by them. Considered to be the substance of electricity.

Term/Definition 3.26 Electric fields: Fields created by electric charges that exert forces on other charges, potentially causing them to move. The field exists everywhere you might want to look for it.

Term/Definition 3.27 Electric currents: Moving electric charges that generate magnetic fields.

Term/Definition 3.28 Magnetic fields: Fields created by moving charges (currents) that exert forces on other moving charges or magnets. All fields exist everywhere you might want to look for them.

Term/Definition 3.29 Electromagnetic field: The combined field where disturbances can propagate as waves. All fields exist everywhere you might want to look for them.

Term/Definition 3.30 Electromagnetic wave: A disturbance in the electromagnetic field that propagates in an organized way; carried by photons.

Term/Definition 3.31 Photon: The subatomic particle that carries electromagnetic waves; the fundamental particle of light and electromagnetism.

Term/Definition 3.32 Light: Electromagnetic waves in the electromagnetic field.

Term/Definition 3.33 Minuend: The whole number from which we subtract in subtraction (e.g., 6 in 6 - 4).

Term/Definition 3.34 Subtrahend: The whole number by which we subtract in subtraction (e.g., 4 in 6 - 4).

Term/Definition 3.35 Difference: The result of subtraction (e.g., 2 in 6 - 4 = 2).

Term/Definition 3.36 Subtraction: The operation of counting backwards from a minuend by a subtrahend; symbolized by -; undefined if subtrahend is larger than the minuend for whole numbers.

Term/Definition 3.37 Integers: The set of positive and negative whole numbers along with zero; denoted by Z (from German “zahlen” for numbers); extends whole numbers to ensure closure under subtraction.

Term/Definition 3.38 Negative numbers: Numbers less than zero (e.g., -10), representing quantities like temperature below zero.

Term/Definition 3.39 Product: The result of multiplication (e.g., 15 in -5 × -3 = 15).

Term/Definition 3.40 Factors: The numbers being multiplied (e.g., -5 and -3 in -5 × -3).

Term/Definition 3.41 Multiplication: The operation of increasing a quantity by itself a number of times; symbolized by ×; equivalent to repeated addition for positives.

Assumptions (the implicit beliefs the author relies on)

Assumption 3.15: Electric charges and fields are fundamental to electromagnetism, with charges creating electric fields, currents creating magnetic fields, and fields pushing or pulling charges and currents.

Assumption 3.16: Moving charges always produce currents and magnetic fields.

Assumption 3.17: Electromagnetic disturbances propagate as waves carried by photons.

Assumption 3.18: Light is a form of electromagnetism.

Assumption 3.19: Photon counts from multiple sources can be summed to estimate totals, and discrepancies indicate issues (excess or deficit sources).

Assumption 3.20: Subtraction on whole numbers is only defined when subtrahend smaller than or equal to the minuend.

Assumption 3.21: Negative numbers are necessary to achieve closure under subtraction.

Assumption 3.22: The origin of symbols like Z is historical (German influence).

Assumption 3.23: Multiplication by zero yields zero; by one leaves the number unchanged.

Assumption 3.24: Multiplication can be viewed as repeated addition for positive integers.

Assumption 3.25: Sign rules for multiplication hold: positive × negative = negative; negative × negative = positive.

Principles

Principle 3.20: Electromagnetism involves mutual interactions: electric fields from charges force other charges; magnetic fields from currents force moving charges/magnets.

Principle 3.21: Electromagnetic waves are disturbances in electromagnetic fields carried by photons.

Principle 3.22: Light is mysteriously a form of electromagnetism.

Principle 3.23: Use addition to count photons from sources and compare to observed totals for diagnostics.

Principle 3.24: Subtraction lacks closure and commutativity for whole numbers.

Principle 3.25: Integers (including negatives) provide closure for subtraction by redefining it as addition of negatives.

Principle 3.26: Multiplication by 0 = 0; by 1 = unchanged (1 is multiplicative identity).

Principle 3.27: Multiplication as repeated addition for positives; apply sign rules for negatives.

Exercise 3.7: Begin with Term/Definition 3.24 and copy it into your notebook. Reflect on its meaning for a few minutes. Note any thoughts that come to mind. How would you explain this to someone sitting in front of you. Write this down. Then do this for each term/definition, assumption, and principle.

Exercise 3.8: If you have never done it, write out a table with ten columns numbers 1-10, and ten row numbered 1 to 10. Fill in the empty spaces with the product of the corresponding vertical and horizontal factors. We can call this, reasonably enough, a multiplication table.

Exercise 3.9: Write out ten sets of three whole numbers. Write out the product of each set.

Exercise 3.10: Write out ten sets of three integers. Write out the product of each set.

The Order of Operations I

You can have both addition and multiplication in the same calculation. If there are no brackets, then we do multiplication first. For example 4+5×4=4+20=24. If there are brackets we do the operation in the brackets first. For example, (4+8)×5=12×5=60. If there are more than one layer of brackets, then you start with the innermost brackets and work outward. For example, [8×(4+8)]×5= (8×12)×5=96×5=480.

Rules of Multiplication

For now we will consider that there are five rules of multiplication that we can never break. These rules, together with those of addition, form the basis of all higher levels of mathematics.

Rule #1: No matter what order you multiply factors the product is the same. For example, 3 × 6=6 × 3=18. We call this the commutative property of multiplication.

Rule #2: You can collect factors in any order and the product remains the same. For example, (3 × 6) ×4 = 3× (6 × 4) =72. We call this the associative property of multiplication.

Rule #3: The product of any factor and 1 is always the factor you started with. For example, 1 × 5 = 5. This is called the identity property of multiplication.

Rule #4: Every product of whole numbers is also a whole number. This is called the closure property of multiplication for whole numbers. Similarly, we can say the same thing for integers, and that is the closure property of multiplication for integers.

Rule #5: The product of a sum is the sum of the corresponding products. For example, 3 ×(4 +5)=3×4+3×5=12+15=27. We call this the distributive property. It is called distributivity because we are distributing multiplication across a sum.

Terms and Definitions

Term/Definition 3.42 Order of operations: The convention for evaluating expressions with multiple operations: multiplication before addition (unless brackets override); innermost brackets first when nested.

Term/Definition 3.43 Commutative property of multiplication: The rule that the order of factors does not affect the product (3 × 2 = 2 × 3).

Term/Definition 3.44 Associative property of multiplication: The rule that the grouping of factors does not affect the product (3 × 2) × 5 = 3 × (2 × 5).

Term/Definition 3.45 Identity property of multiplication: The rule that multiplying any factor by 1 leaves the factor unchanged (3 × 1 = 3).

Term/Definition 3.46 Identity element for multiplication: One (1), because it satisfies the identity property.

Term/Definition 3.47 Closure property of multiplication (for whole numbers/integers): The rule that the product of any two whole numbers (or any two integers) is always another whole number (or integer).

Term/Definition 3.48 Distributive property (or distributivity): The rule that multiplication distributes over addition 3 × (4 + 2) = 3 × 4 + 3 × 2.

Assumptions (the implicit beliefs the author relies on)

Assumption 3.26: Expressions with addition and multiplication require a fixed order of operations to be unambiguous.

Assumption 3.27: Multiplication has priority over addition unless brackets explicitly change the order.

Assumption 3.28: Nested brackets are evaluated from innermost to outermost.

Assumption 3.29: Multiplication on whole numbers and integers obeys exactly these five unbreakable rules: commutative property, associative property, identity property, closure, and distributivity.

Assumption 3.30: These five properties (together with addition's properties) are foundational for all higher mathematics.

Assumption 3.31: Whole numbers and integers are closed under multiplication.

Assumption 3.32: One behaves specially as the multiplicative identity.

Principles

Principle 3.28: In mixed addition/multiplication expressions always perform multiplication before addition if no brackets. Evaluate inside brackets first. With nested brackets, start innermost and work outward.

Principle 3.29: Multiplication on whole numbers/integers must always satisfy five inviolable rules: commutativity, associativity, identity (with 1), closure, and distributivity.

Principle 3.30 Commutative property: The product is independent of factor order.

Principle 3.31 Associative property: The product is independent of grouping.

Principle 3.32 Identity property: One is the unique multiplicative identity—multiplying by it changes nothing.

Principle 3.33 Closure property: Products remain within whole numbers (or integers).

Principle 3.34 Distributive property: Multiplication distributes over addition, allowing expansion of products of sums.

Principle 3.25: These properties (with addition’s) form the unbreakable foundation for all further mathematics.

Exercise 3.11: Begin with Term/Definition 3.42 and copy it into your notebook. Reflect on its meaning for a few minutes. Note any thoughts that come to mind. How would you explain this to someone sitting in front of you. Write this down. Then do this for each term/definition, assumption, and principle.

Measurement

Measurement is the process of determining a physical quantity using standardized units. The act of measurement uses tools that are calibrated to specific units. A measurement is then seen as the product of the quantity in a system of units as one factor and the unit of measure as the second factor. For example, 4 inches is the product of the factors 4 and inch. Measurement is fundamental in science, engineering, and daily life—allowing us to build structures, conduct experiments, or even cook with precision. The choice of unit and tool depends on the context. Accurate measurement requires careful alignment, reading, and sometimes conversion between units, making it a critical skill for understanding and interacting with the world around us. We will get into the details of this in Lesson 13.

Factorials

The product of all positive integers from 1 to some non-negative integer is called the factorial of the non-negative integer. We denote this the factorial symbol. the exclamation mark, !. For instance, 5! (read as “five factorial”) equals 5 × 4 × 3 × 2 × 1 = 120. By convention, 0! is defined as 1. This might seem counterintuitive but is crucial for consistency. Factorials grow very quickly; the factorial of larger numbers becomes exceedingly large. This reflects the explosive increase in the number of ways to arrange more items. They are fundamental in probability, statistics, and many areas of mathematics, where they help in counting arrangements without repetition.

Division

Dividing whole numbers involves figuring out how many times one number, the divisor, fits into another number, the dividend, to get a whole number quotient, sometimes with a remainder. We use the symbol ÷ for division. For example, 20÷4, you see how many times 4 can be subtracted from 20 before you hit zero or less. Here, 4 fits into 20 exactly 5 times, giving a quotient of 5 with no remainder. If there's a remainder, for example 22 ÷ 5, 5 goes into 22 four times with 2 left over, so you'd say the quotient is 4 with a remainder of 2. This process helps in understanding basic arithmetic and is key to working with whole numbers in math.

Dividing integers involves a process similar to dividing whole numbers, but with the added complexity of handling negative numbers. When you divide an integer by another integer, you’re determining how many times the divisor fits into the dividend, potentially resulting in a quotient and a remainder. If both numbers are positive, it’s straightforward division of whole numbers. However, when dealing with negative integers, consider the sign rules: positive divided by positive or negative divided by negative yields a positive result, while positive divided by negative or vice versa gives a negative result. For example, -20 ÷ 5 equals -4, but -20 ÷ -5 equals 4. The remainder in integer division is always the same magnitude as with whole numbers, but its sign matches that of the dividend. Thus, -22 ÷ 5 gives a quotient of -4 with a remainder of -2. This understanding extends the concept of division to include all integers, maintaining the principles of division but incorporating the rules for signs.

Terms and Definitions

Term/Definition 3.49 Measurement: The process of determining a physical quantity using standardized units, via calibrated tools; expressed as the product of a numerical value and a unit (e.g., 4 inches = 4 × inch).

Term/Definition 3.50 Factorial (denoted n!): The product of all positive integers from 1 to n (for n ≥ 1); by convention, 0! = 1.

Term/Definition 3.51 Division of whole numbers: The process of determining how many times the divisor fits into the dividend, yielding a quotient and possibly a remainder; symbolized by ÷.

Term/Definition 3.52 Divisor: The number by which we divide in division.

Term/Definition 3.53 Dividend: The number being divided in division.

Term/Definition 3.54 Quotient: The whole-number result of how many times the divisor fits into the dividend.

Term/Definition 3.55 Remainder: The amount left over after division when the divisor does not fit exactly.

Term/Definition 3.51 Division of integers: Extension of whole-number division to include negatives, following sign rules: same signs yield positive quotient, opposite signs yield negative quotient; remainder sign matches dividend.

Assumptions

Assumption 3.33: Physical quantities are measurable using standardized units and calibrated tools.

Assumption 3.34: Measurements are always expressed as number × unit.

Assumption 3.35: Accurate measurement is essential for science, engineering, and daily tasks.

Assumption 3.36: Factorials grow extremely rapidly with the number applied to.

Assumption 3.37: Defining 0! = 1 is necessary for mathematical consistency (e.g., in formulas and counting).

Assumption 3.38: Division of whole numbers may produce a remainder (not always exact).

Assumption 3.39: Integer division follows specific sign rules for quotient and remainder.

Assumption 3.40: Remainder in integer division has the same sign as the dividend.

Principles

Principle 3.26: Measurement is fundamental: use standardized units and tools; express as numerical value × unit.

Principle 3.27: Choose units and tools contextually; accuracy requires careful technique (alignment, reading, conversion).

Principle 3.28: Factorials count arrangements without repetition and are crucial in probability/statistics.

Principle 3.29: Compute 4! as 4 × 3 × 2 × 1; define 0! = 1 for consistency.

Principle 3.30: Division (whole numbers): find quotient (how many times divisor fits) and remainder (leftover); symbolized ÷.

Principle 3.31: Division is not always exact for whole numbers.

Principle 3.32: Extend division to integers with sign rules:  Same signs → positive quotient, opposite signs → negative quotient.

Principle 3.33: Remainder sign matches dividend.

Exercise 3.12: Begin with Term/Definition 3.49 and copy it into your notebook. Reflect on its meaning for a few minutes. Note any thoughts that come to mind. How would you explain this to someone sitting in front of you. Write this down. Then do this for each term/definition, assumption, and principle.

Exercise 3.13: Write out ten sets of three whole numbers. Write out the quotient of each set.

Rational Numbers

It is clear that division is not closed with respect to the whole numbers or integers. We cannot accomplish the operation 1 ÷ 2 without resorting to remainders. To resolve this we need to establish a new kind of number. We use a new notation where we write one integer (called the numerator), a horizontal line below that, and then another nonzero integer below that (called the denominator). For example, 1 ÷ 2 would be l3_3.png, -3 ÷ 4 would be l3_4.png. We call these fractions or rational numbers. The set of rational numbers is denoted as the double-struck Q, Q. Why Q? It is from the word quotient. :Rational numbers give us a way to express the result of any division of integers, providing closure to the operation.

Factors and Multiples

Factors and multiples are fundamental concepts in number theory, intimately connected through multiplication and division. When you multiply two integers, the numbers you start with are factors of the product, which is their multiple. For example, if you multiply 3 by 4 to get 12, then both 3 and 4 are factors of 12, and 12 is a multiple of both 3 and 4. Division helps to identify factors; if you divide 12 by 3 and get an integer (4 in this case), then 3 is a factor of 12. Moving into rational numbers, which include fractions, every integer can be expressed as a rational number where the denominator is 1. This perspective allows us to see that any rational number like l3_5.png(this simplifies to 4) represents division, showing how factors relate to multiples. Conversely, if you have a rational number like l3_6.png, you can interpret it as 5 being a multiple of 2 with a factor of l3_7.png, illustrating the deep connection between these concepts through the lens of multiplication, division, and the broader set of rational numbers.

Fractions that represent the same quantity but are expressed with different numerators and denominators are called equivalent fractions. Understanding them involves recognizing how factors and multiples play a role. If you have a fraction like l3_8.png, you can create an equivalent fraction by multiplying both the numerator and the denominator by the same number, which is essentially a multiple of one or both. For example, multiplying both 1 and 2 by 3 gives you l3_9.png, and that is equivalent to l3_10.png since because both fractions reduce to the same simplest form when divided by their common factor, here 3. When we find factors in common between numbers we say that they have a common factor. For example, 15 can be written as 5 × 3 and 6 can be written 2 × 3, so both have a common factor of 3. When there are multiple common factors the largest of these is called the greatest common factor (or GCF). To simplify a fraction, you divide both the numerator and the denominator by their GCF. If you start with l3_11.png, then divide both the numerator and denominator by their GCF, 4, you get l3_12.png, another equivalent fraction. Thus, equivalent fractions are created by using factors to simplify or multiples to expand, ensuring they all represent the same part of a whole.

Terms and Definitions

Term/Definition 3.52 Rational numbers: Numbers expressed as a fraction with an integer numerator and a nonzero integer denominator (e.g., 1/2, -3/4); denoted by Q (from "quotient").

Term/Definition 3.53 Fraction: The notation for a rational number: numerator above a horizontal line, nonzero denominator below.

Term/Definition 3.54 Numerator: The integer above the line in a fraction.

Term/Definition 3.55 Denominator: The nonzero integer below the line in a fraction.

Term/Definition 3.56 Factors: Integers that multiply to give a product; if -5 × 3 = -15, then -5 and 6 are factors of -15.

Term/Definition 3.57 Multiple: The product of two integers; if -5 × 3 = -15, then -15 is a multiple of -5 and 3.

Term/Definition 3.58 Equivalent fractions: Fractions that represent the same rational number but with different numerators and denominators (e.g., 1/2 = 3/6 = 2/4).

Term/Definition 3.59 Common factor: A factor shared by two or more integers (e.g., 3 is a common factor of 15 and 6).

Term/Definition 3.60 Greatest common factor (GCF): The largest common factor of two or more integers.

Assumptions (the implicit beliefs the author relies on)

Assumption 3.41: Division is not closed over integers/whole numbers, requiring a new number system for full closure.

Assumption 3.42: Rational numbers resolve the closure issue for division (any integer division yields a rational).

Assumption 3.43: Every integer can be written as a rational with denominator 1.

Assumption 3.44: Factors and multiples are symmetric through multiplication and division.

Assumption 3.45: Equivalent fractions always exist and can be generated by multiplying/dividing numerator and denominator by the same nonzero integer.

Assumption 3.46: Simplifying fractions by dividing by the GCF yields the “simplest form.”

Assumption 3.47: All fractions in equivalent classes represent the same underlying quantity (“same part of a whole”).

Principles

Principle 3.34: Introduce rational numbers (fractions) to achieve closure under division: any integer ÷ nonzero integer = rational.

Principle 3.35: Use fraction notation: numerator/denominator; denominator ≠ 0.

Principle 3.36: Factors of a product are the multipliers; multiples are the products.

Principle 3.37: Division identifies factors: if dividend ÷ divisor = integer, then the divisor is a factor.

Principle 3.38: Every integers is a rational with denominator 1.

Principle 3.39: Create equivalent fractions by multiplying numerator and denominator by the same nonzero integer (or dividing by GCF to simplify).

Principle 3.40: Identify common factors; the largest is the GCF.

Principle 3.41: Simplify fractions by dividing numerator and denominator by their GCF — yields equivalent fraction in simplest form.

Principle 3.42: All equivalent fractions represent the same rational value.

Exercise 3.14: Begin with Term/Definition 3.52 and copy it into your notebook. Reflect on its meaning for a few minutes. Note any thoughts that come to mind. How would you explain this to someone sitting in front of you. Write this down. Then do this for each term/definition, assumption, and principle.

Exercise 3.15: Write out ten sets of two whole numbers. Write out the common factors and GCF of each.

Exercise 3.16: Write out ten sets of two integers. Write out the common factors and GCF of each.

Exercise 3.17: Write out ten rational numbers. Write out the common factors and GCF of each.

Exponents

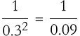
When we multiply a number (called a base) by itself a number of times (called a power or an exponent). We denote this with a small power raised to the right of the base. For example, l3_13.png. Exponents can be positive, negative, or even zero, each with distinct meanings: a positive exponent indicates how many times to multiply, a negative exponent denotes division by that many instances of the base (like l3_14.png is equivalent to l3_15.png), and zero as a power results in 1 for any non-zero base. For example, l3_16.png. This concept simplifies dealing with very large or very small numbers, making calculations much more manageable. Exponents also have their own set of rules for operations, known as the laws of exponents, which include how to multiply, divide, or raise exponents to powers, facilitating complicated mathematical manipulations. Powers of 2 are called squares. Powers of three are called cubes.

Exercise 3.18: Write out ten sets of two whole numbers. Consider the first of each set as the base and the second as the power. Then evaluate each.

Exercise 3.19: Write out ten sets of two integers. Consider the first of each set as the base and the second as the power. Then evaluate each.

Exercise 3.20: Write out ten sets of two rational numbers. Consider the first of each set as the base and the second as the power. Then evaluate each.

Rules of Exponents

There are eight rules we can use in calculating exponents.

Rule 1: When we multiply two expressions having the same base, we add the powers. For example, l3_17.png.

Rule 2: When dividing two expressions with the same base, you subtract the exponent of the denominator from the exponent of the numerator. For example, l3_18.png.

Rule 3: When raising an expression with an exponent to another power, you multiply the exponents. For example, l3_19.png.

Rule 4: When raising a product to an exponent, you distribute the exponent to each factor. For example, l3_20.png (256×390625)=100000000.

Rule 5: When raising a quotient to an exponent, you distribute the exponent to both the numerator and the denominator. For example, l3_21.png.

Rule 6: Any non-zero number raised to the power of 0 equals 1.

Rule 7: A negative exponent is represented by taking the reciprocal of the base raised to the positive exponent. For example, l3_22.png.

Rule 8: Any base raised to the power of 1 is the base itself.

Terms and Definitions

Term/Definition 3.61 Exponents: The operation of multiplying a number (base) by itself a specified number of times; denoted by a superscript (e.g., l3_23.png). Some authors call this a power, and there can be a lot of confusion if you use both terms for this.

Term/Definition 3.62 Base: The number being multiplied by itself in exponentiation (e.g., 4 in l3_24.png).

Term/Definition 3.63 Power: The small superscript indicating how many times to multiply the base by itself (e.g., 3 in l3_25.png). Some authors call this an exponent, and there can be a lot of confusion if you use both terms for this.

Term/Definition 3.64 Positive power: Indicates repeated multiplication (e.g., l3_26.png = 2 × 2 × 2).

Term/Definition 3.65 Negative power: Indicates reciprocal of the base raised to the positive exponent (e.g., l3_27.png= l3_28.png).

Term/Definition 3.66 Zero power: Any non-zero base raised to 0 equals 1 (e.g., l3_29.png = 1).

Term/Definition 3.67 Squares: Powers of 2 (e.g., l3_30.png).

Term/Definition 3.68 Cubes: Powers of 3 (e.g., l3_31.png).

Assumptions (the implicit beliefs the author relies on)

Assumption 3.48: Exponentiation is fundamentally repeated multiplication for positive exponents.

Assumption 3.49: Negative and zero exponents are defined to extend the operation consistently (reciprocals and 1, respectively).

Assumption 3.50: Any non-zero base can be raised to zero (yielding 1).

Assumption 3.51: Bases are non-zero when negative exponents are involved (to avoid division by zero).

Assumption 3.52: Exponentiation simplifies handling very large/small numbers and complex calculations.

Principles

Principle 3.43: Exponentiation denotes repeated multiplication: l3_32.png.

Principle 3.44: Exponentiation has eight inviolable rules:  

Rule 1 (product same base): add exponents (l3_33.png).

Rule 2 (quotient same base): subtract exponents (l3_34.png).  

Rule 3 (power of power): multiply exponents (l3_35.png).  

Rule 4 (power of product): distribute to factors (l3_36.png (256×390625)=100000000).  

Rule 5 (power of quotient): distribute to numerator/denominator (l3_37.png).  

Rule 6: non-zero l3_38.png = 1.  

Rule 7: negative exponent as reciprocal (l3_39.png).  

Rule 8: any l3_40.png = base itself.

Exercise 3.21: Begin with Term/Definition 3.61 and copy it into your notebook. Reflect on its meaning for a few minutes. Note any thoughts that come to mind. How would you explain this to someone sitting in front of you. Write this down. Then do this for each term/definition, assumption, and principle.

Sequences

An ordered list of numbers where each number follows a certain pattern or rule are called sequences. For example, consider the sequence where each number is 2 more than the previous one: starting with 1, the sequence would be 1, 3, 5, 7, and so on. We can write the phrase, “and so on” with the ellipsis symbol, ... .Here, to find the next number, you simply add 2 to the last number in the sequence. Another common sequence is the series of even numbers, where each term is derived by adding 2 to the previous term starting from 2: 2, 4, 6, 8, ... . Sequences can also decrease; if we start with 10 and subtract 3 from each term, we get 10, 7, 4, 1, which is a decreasing sequence. By using basic arithmetic operations like addition, subtraction, multiplication, or division, you can generate a wide variety of sequences, each with its unique pattern or rule for determining the next term. Another example of a sequence is 1, 2, 3, ..., 10 where the ellipsis here means all elements of the sequence between those specified.

Counting Permutations

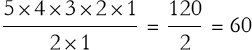
Counting permutations with rational numbers and exponents involves understanding how to express the number of ways to arrange items. Here, by definition, (number!) can be expressed as number × (number - 1) × (number -2) × ... × 1. For example, with 3 items, there are 3! = 3 × 2 × 1 = 6 permutations. If you’re considering the number of repetitions (reps), then only selecting (reps) items out of (number) of arrangements, the number of permutations is l3_41.png, a rational number where the denominator cancels out some of the multiplication in the numerator. Here, the use of exponents is implicit in the factorial notation; for instance, in a situation where we have 5 items with 3 repetitions then we have l3_42.pngl3_43.png, thus there are 60 different ways of arranging these items.

Prime Numbers

Prime numbers are the building blocks of the number system in mathematics, defined as natural numbers greater than 1 that have no positive divisors other than 1 and themselves. This means a prime number cannot be formed by multiplying two smaller natural numbers; for example, 2, 3, 5, 7, 11, and so on are prime because they are only divisible by 1 and themselves. Any number greater than 1 that is not prime is called a composite number. Every composite number can be expressed as a product of primes in exactly one way, ignoring rearrangements. This statement is one way of writing down something called the Fundamental Theorem of Arithmetic. The process of writing out the factors of a number is called factorization. The search for prime numbers, especially very large ones, continues to be an intriguing area of mathematics, with new primes being discovered regularly.

Decimals

Decimals are a way to represent numbers that include fractional parts, allowing for precise measurements and calculations beyond the use of rational numbers (and you will find that rational numbers have large numerators and denominators can be hard to understand at first glance). In the decimal system, a period or decimal point separates the integer part from the fractional part, where each digit after the decimal represents a power of ten in reverse order: the first digit after the decimal is tenths l3_44.png, the second is hundredths l3_45.png, and so on. For example, the number 7.25 means seven whole units plus two tenths and five hundredths. Decimals make it easier to deal with real-world quantities that aren’t whole. They can be added, subtracted, multiplied, or divided just like whole numbers, but with attention to place value. Converting between decimals and fractions is also straightforward, providing a versatile tool for arithmetic and everyday calculations.

Exercise 3.22: Write out ten rational numbers. Convert these to decimals.

Exercise 3.23: Write out ten decimal numbers. Convert these to rational numbers if possible.

Adding and subtracting decimals requires aligning the decimal points to ensure digits of the same place value (units, tenths, hundredths, etc.) are operated on correctly. Write the numbers vertically, with decimal points in a straight line. If one number has fewer decimal places, you can append zeros to the right to match the number of decimal places for clarity, though this is optional.

For addition, you add digits column by column from right to left, as with whole numbers. If a column’s sum exceeds 9, carry the tens digit to the next column on the left, creating a new column if needed. Place the decimal point in the result directly below the aligned decimal points. For example, if we add 47.623 and 8.190, we write

l3_46.gif

We add this column by column, beginning on the right:

Thousandths: 3 + 0 = 3

Hundredths: 2 + 9 = 11 (write 1, carry 1)

Tenths: 6 + 1 + 1 (carry) = 8

Units: 7 + 8 = 15 (write 5, carry 1)

Tens: 4 + 0 + 1 (carry) = 5

Hundreds: 0 + 0 = 0.

So we write,

l3_47.gif

For subtraction, you subtract digits column by column from right to left. If a digit is too small to subtract from, borrow 1 from the next column to the left, increasing the current digit by 10. Place the decimal point in the result below the aligned decimal points.  For example, 47.623 − 8.19, we write

l3_48.gif

We subtract this column by column from the right:

Thousandths: 3 − 0 = 3

Hundredths: 2 − 9 is not possible, so borrow 1 from the tenths place (6 becomes 5, 2 becomes 12). Then, 12 − 9 = 3.

Tenths: 5 − 1 = 4

Units: 7 − 8 is not possible, so borrow 1 from the tens place (4 becomes 3, 7 becomes 17). Then, 17 − 8 = 9.

Tens: 3 − 0 = 3

Hundreds: 0 − 0 = 0.

So we write,

l3_49.png

Exercise 3.24: Write out ten sets of two decimals. Write the sum of each set.

Multiplying decimals is similar to multiplying whole numbers, with an additional step to place the decimal point in the product. Follow these steps:

Ignore the decimal points: Treat both numbers as whole numbers by removing their decimal points.

Multiply the whole numbers: Use standard multiplication (column-by-column or another method) to find the product.

Count decimal places: Sum the number of decimal places in both original numbers. A decimal place is any digit to the right of the decimal point.

Place the decimal point: In the product, count the total number of decimal places from the right and insert the decimal point. If necessary, add leading zeros to ensure the correct number of decimal places.

For example, 3.25 × 1.5:

l3_50.png

We then count the number of decimal places: 3.25 has two, 1.5 has one, so the total is three. This gives us the answer 4.875.

Exercise 3.25: Write out ten sets of two decimals. Write the product of each set.

Dividing decimals involves transforming the problem into a whole-number division to simplify calculations. Follow these steps:

Make the divisor a whole number: Move the decimal point in the divisor to the right until it becomes a whole number. Count the number of places moved.

Adjust the dividend: Move the decimal point in the dividend the same number of places to the right as in the divisor. If needed, append zeros to the dividend.

Perform division: Divide the adjusted dividend by the whole-number divisor using standard division.

Place the decimal point: In the quotient, place the decimal point directly above its final position in the adjusted dividend. If the division doesn’t yield a whole number, continue dividing to obtain decimal places in the quotient, adding zeros to the dividend as needed.

For example, 5.2 ÷ 0.4:

Divisor: 0.4 has one decimal place. Move the decimal point one place to get 4.

Dividend: 5.2 has one decimal place. Move the decimal point one place to get 52.

Perform division.

l3_51.png

Place the decimal point. In this case we do not need any adjustment. The answer is 13.

Exercise 3.26: Write out ten sets of two decimals. Write the quotient of each set.

Raising a decimal to a power involves multiplying the decimal by itself as many times as specified by the exponent. For instance, if you want to raise 0.3 to the power of 3, you calculate 0.3 × 0.3 × 0.3 = 0.027. When raising a decimal to a positive power, the result becomes smaller if the base is less than 1, as each multiplication further diminishes the value. Conversely, raising a decimal between 0 and 1 to a negative power means that you are dealing with the reciprocal of that base raised to the positive exponent; for example, l3_52.png is the same as  l3_53.png this is approximately 11.11. As it happens this is 11.11111... . The decimal never ends. We call it a repeating decimal. This process highlights how exponents can dramatically scale numbers: positive exponents make numbers smaller when the base is a fraction, while negative exponents can make them larger, reflecting the inverse relationship.

Exercise 3.27: Write out ten sets of a decimal and an integers. Consider the decimal as the base and the integer as the power. Evaluate each expression.

As we have already commented, closure in operations refers to the property where the result of an operation performed on any two elements of a set remains within that set. In the context of decimals, this means that when you add, subtract, multiply, or divide (with the exception of division by zero) two decimal numbers, the result is always another decimal number. For instance, adding 3.5 and 2.7 gives 6.2, which is still a decimal; similarly, multiplying 0.5 by 0.2 yields 0.1, another decimal. This property of closure under these operations in the set of decimals introduces you to the concept of number systems and their properties. This notion is fundamental to higher mathematics. As we have already seen, it leads to the exploration of many areas of advanced mathematics.

Terms and Definitions

Term/Definition 3.69 Sequences: Ordered lists of numbers where each term follows a specific pattern or rule (e.g., adding/subtracting a constant, or listing up to a point).

Term/Definition 3.70 Ellipsis (...): The symbol indicating “and so on” or continuation of a pattern in a sequence.

Term/Definition 3.71 Permutations: The number of distinct ways to arrange items.

Term/Definition 3.72 Permutations with repetition (or partial permutations): The number of ways to arrange repetitions of items out of a number of items, given by number! / (number - reps)!.

Term/Definition 3.73 Prime numbers: Natural numbers greater than 1 that have no positive divisors other than 1 and themselves.

Term/Definition 3.74 Composite number: Any natural number greater than 1 that is not prime (has divisors other than 1 and itself).

Term/Definition 3.74 Factorization: The process of writing a number as a product of its prime factors.

Term/Definition 3.75 Repeating decimal: A decimal where a digit or group of digits repeats indefinitely (e.g., 11.111…).

Assumptions (the implicit beliefs the author relies on)

Assumption 3.53: Permutations count distinct arrangements; the factorial of the number of the items provides the total for all items.

Assumption 3.54: Partial permutations use factorial ratios to account for selecting fewer items, removing repetitions.

Assumption 3.55: Prime numbers are the unique “building blocks” of natural numbers via multiplication.

Assumption 3.56: Decimal division can be transformed into whole-number division by shifting decimal points.

Assumption 3.57: Exponentiation on decimal fractions shrinks the value for positive exponents and enlarges it for negative exponents.

Principles

Principle 3.45: Prime numbers have only 1 and themselves as divisors; composites do not.

Principle 3.46 Fundamental Theorem of Arithmetic: Every composite number can be expressed as a product of primes in exactly one way (ignoring order).

Principle 3.47: Perform decimal division by shifting decimals to make divisor whole, then divide normally.

Principle 3.48: Decimal numbers exhibit closure under all of the basic operations we have studied.

Exercise 3.28: Begin with Term/Definition 3.69 and copy it into your notebook. Reflect on its meaning for a few minutes. Note any thoughts that come to mind. How would you explain this to someone sitting in front of you. Write this down. Then do this for each term/definition, assumption, and principle.

Scientific Notation

Scientific notation is a way of expressing numbers that are either very large or very small in a more concise and manageable form. It involves writing a number as the product of two parts: a number between 1 and 10 (the coefficient) and a power of 10. For example, the number 300,000 can be written in scientific notation as 3 × l3_54.png, where 3 is the coefficient and 5 is the exponent indicating how many places to move the decimal point to the right. Conversely, for small numbers like 0.000045, it becomes 4.5 × l3_55.png, with the negative exponent showing how many places to move the decimal to the left. This notation is particularly useful in scientific and engineering contexts for dealing with measurements in physics, chemistry, and astronomy, where precision in very large or small scales is necessary. It simplifies computations, reduces the likelihood of errors in reading or writing large numbers, and makes it easier to compare the magnitude of different numbers visually and mathematically.

Exercise 3.29: Evaluate the sum 3.2 l3_56.png+4.5 l3_57.png.

Exercise 3.30: Evaluate the difference 8.0 l3_58.png- 3.5 l3_59.png.

Exercise 3.31: Evaluate the product 2.0 l3_60.png× 3.0 l3_61.png.

Exercise 3.32: Evaluate the quotient 9.0 l3_62.png÷ 3.0 l3_63.png.

Exercise 3.33: Evaluate the quotient (4.0 l3_64.png+ 6.0 l3_65.png) × 2.0 × l3_66.png.

Square Roots

Square roots are a fundamental concept in mathematics, representing a number that when multiplied by itself gives the original number. For instance, the square root of 9 is 3, since l3_67.png. The square root of a number is symbolized as l3_68.png. Every positive number has two square roots: one positive and one negative, though by convention, the principal (or positive) square root is usually considered when we speak of “the” square root. For example, both (3) and -3  are square roots of 9, but we typically refer to 3 as the square root. Another way of writing square roots is a one half exponent. So l3_69.png.

We can calculate square roots without using a calculator. We call this the Digit-by-Digit Method:

Write the number whose square root you want to find.

Pair the digits to the left and right of the decimal point (grouping them in twos). For example, for 256, pair as 2|56; for 17.64, pair as 17|64.

If needed, append zeros after the decimal point to continue calculating decimal places.

Start with the leftmost pair (or single digit if odd).

Find the largest single-digit number whose square is less than or equal to this group. This is the first digit of the square root.

Square the digit found, subtract it from the current group, and bring down the next pair of digits to form a new number.

Take the current root (the digits found so far), double it, and append a placeholder digit (call it d).

Form the number 20 × current root +d, and multiply it by d.

Find the largest digit d (0 to 9) such that (20×current root+d)×d is less than or equal to the current number.

This d is the next digit of the square root.

Subtract (20×current root+d)×d from the current number.

Bring down the next pair of digits (or zeros for decimal places).

Repeat the cycle from step 7 to find the next digit, continuing until you reach the desired precision.

If the original number has a decimal point, place the decimal point in the square root after the same number of digits as there are whole-number digits in the original number.

For example, l3_70.png:

Write 256 as 2|56 (pair digits from the right).

Since 256 is a whole number, the decimal point is after 256 (256.00), so we can add pairs of zeros (e.g., 2|56|00) for more precision if needed.

Find the largest digit d such that l3_71.png.

Try: l3_72.png, l3_73.png (too large). So, d=1.

Subtract: l3_74.png.

Bring down the next pair (56): New number is 156.

Current root = 1. Double it: 2×1=2.

Form 20×1+d=20+d, and compute (20+d)×d.

Find the largest d such that (20+d)×d≤156. In our case we test d=6: (20+6)×6=26×6=156 and this fits. We next test d=7:  (20+7)×7=27×7=189 and this is too large.

Use d=6. Subtract: 156−156=0.

Bring down the next pair (00): New number is 0.

Remainder is 0, and 256 is a perfect square, so the square root is 16 (or 16.0). So l3_75.png.

Terms and Definitions

Term/Definition 3.76 Scientific notation: A way to express very large or very small numbers as the product of a coefficient (between 1 and 10) and a power of 10 (e.g., 3 × l3_76.png or 4.5 × l3_77.png).

Term/Definition 3.77 Coefficient: The number between 1 and 10 (not including 10) in scientific notation.

Term/Definition 3.78 Power (in scientific notation): The power of 10 indicating how many places to move the decimal point (positive for large numbers, negative for small).

Term/Definition 3.79 Square root: A number that, when multiplied by itself, gives the original number; symbolized by l3_78.png(principal root is non-negative).

Term/Definition 3.80 Principal square root: The non-negative square root of a positive number.

Assumptions (the implicit beliefs the author relies on)

Assumption 3.58: Very large/small numbers are common in science and need concise representation.

Assumption 3.59: Every positive number has two square roots (positive and negative), but the principal (positive) one is standard.

Assumption 3.60: Square root can be expressed as exponent 1/2.

Assumption 3.61: Manual square root calculation (digit-by-digit) is possible and accurate for any precision.

Assumption 3.62: Perfect squares yield exact integer roots with zero remainder.

Assumption 3.63: The digit-by-digit method works by grouping digits in pairs from the decimal point.

Principles

Principle 3.49: In scientific notation positive exponents shift decimal right (large numbers); negative shift left (small numbers).

Principle 3.50: Scientific notation simplifies computation, reduces errors, and aids magnitude comparison.

Principle 3.48: Compute square roots manually via digit-by-digit method:  

Pair digits from decimal point.  

Find largest digit whose square ≤ current group.  

Subtract, bring down next pair.  

Double current root, form trial divisor, find next digit.  

Repeat for desired precision.

Principle 3.49: Place decimal in root aligned with original number's whole digits.

Principle 3.50: Method yields exact root for perfect squares; approximates otherwise.

Exercise 3.34: Begin with Term/Definition 3.76 and copy it into your notebook. Reflect on its meaning for a few minutes. Note any thoughts that come to mind. How would you explain this to someone sitting in front of you. Write this down. Then do this for each term/definition, assumption, and principle.

Exercise 3.35: Write out ten positive numbers. Determine the square root of each. Did you encounter any problems? Were you able to calculate the square root for each number?

Cube Roots

Cube roots are another essential mathematical concept, representing the number that, when raised to the third power (or cubed), yields the original number. For example, the cube root of 27 is 3, because l3_79.png. Symbolically, the cube root of a number is written as l3_80.png. Unlike square roots, which have two solutions for positive numbers, cube roots are unique for every number, whether positive, negative, or zero. The cube root of a negative number is negative, for instance, l3_81.png. Another way of writing cube roots is a one third exponent. So l3_82.png.

Exercise 3.36: Write out ten numbers. Determine the cube root of each. Did you encounter any problems? Were you able to calculate the square root for each number?

Roots in General

As we have seen, roots undo exponents. Square roots undo squares. Cube roots undo cubes. A quartic root undoes a quartic power, l3_83.png. You can undo any power this way.

Length, Area, and Volume

In arithmetic, length is a fundamental measure often represented by a single number, like the side of a square at 5 units. When we multiply length by another length, we calculate area, for our square the area is 5 units × 5 units = 25 square units, or l3_84.png. This concept extends to volume, where multiplying area by another length gives us the space within a shape. For a cube with sides of 5 units, the volume is 5 units × 5 units × 5 units =  125  cubic units, or l3_85.png.

Energy as a Volume

We have lots of ways of calculating a quantity that we call energy. It is important that there is no good way to explain what energy is. Any collection of objects or entities where interactions occur based on physical laws is what we will call a physical system. In arithmetic terms, we can view these systems quantitatively. One quality that an object might have is its ability to resist being accelerated, we call this inertia. Inertia is represented by the mass of an object. For example, if we have a system with two balls, one with a mass of 3 units and the other with 5 units, we can calculate total mass simply by addition (3 + 5 = 8 units). When an object is in motion, the quantity of distance traveled in the corresponding time is what we call speed. When something moves it possesses energy just by moving called kinetic energy. We can calculate kinetic energy by multiplying the mass of an object by the square of its speed, then dividing the product by 2. If one ball moves at 2 units per second and the other at 4 units per second, the kinetic energy of each is l3_86.png × mass × l3_87.png would be calculated separately and then summed. The kinetic energy would be, for ball 1,

l3_88.png

For ball 2,

l3_89.png

We can imagine this as the volume of a cube whose sides are l3_90.png the mass, l3_91.png the speed, and l3_92.png the speed.

Order of Operations II

The order of operations, often remembered by the acronym PEMDAS (Parentheses, Exponents, Multiplication and Division (from left to right), Addition and Subtraction (from left to right)), dictates how to evaluate mathematical expressions involving various operations. When dealing with sums, products, exponents, and roots, you first tackle any expressions inside parentheses. Next, you handle exponents and roots, as they have precedence over basic arithmetic operations; for instance, you solve l3_93.png or l3_94.png before moving on. After that, you perform multiplication and division as they appear from left to right, without considering which comes first between them. Finally, you address addition and subtraction in the same manner, left to right. So, in an expression like l3_95.png, you would first solve inside the parentheses to get 3 + 4 × (4 - 4), which simplifies to 3+4×0. Then, you multiply to get 3 + 0, finally adding to find the result is 3. This sequence ensures consistency and clarity in arithmetic calculations.

Terms and Definitions

Term/Definition 3.81 Cube root: A number that, when raised to the third power (cubed), yields the original number; unique for every real number (positive, negative, or zero), denoted l3_96.png or l3_97.png.

Term/Definition 3.82 Quartic root: A number that, when raised to the fourth power, yields the original number; denoted l3_98.png or l3_99.png.

Term/Definition 3.83 Root (in general): An operation that undoes exponentiation.

Term/Definition 3.84 Length: A fundamental one-dimensional measure (single number with units). Synonymous with distance.

Term/Definition 3.85 Area: The result of multiplying two lengths; measured in square units l3_100.png).

Term/Definition 3.86 Volume: The result of multiplying three lengths (or area by length); measured in cubic units l3_101.png).

Term/Definition 3.87 Physical system: Any collection of objects or entities where interactions occur according to physical laws.

Term/Definition 3.88 Inertia: The property of an object to resist acceleration; quantified by mass.

Term/Definition 3.89 Mass: The quantitative measure of inertia.

Term/Definition 3.90 Speed: Distance traveled per unit time.

Term/Definition 3.91 Kinetic energy: Energy possessed by an object due to its motion; calculated as (1/2) × mass × l3_102.png.

Term/Definition 3.92 Order of operations (PEMDAS): The sequence for evaluating expressions: Parentheses first, then Exponents (and roots), Multiplication/Division left-to-right, Addition/Subtraction left-to-right.

Assumptions (the implicit beliefs the author relies on)

Assumption 3.64: Cube roots (and higher roots) are unique for all real numbers, unlike square roots which have two for positives.

Assumption 3.65: Roots are inverse operations to exponentiation.

Assumption 3.66: Energy (specifically kinetic energy) can be visualized geometrically (as a “volume” in abstract units).

Principles

Principle 3.51: Physical systems involve interacting objects governed by laws.

Exercise 3.37: Begin with Term/Definition 3.81 and copy it into your notebook. Reflect on its meaning for a few minutes. Note any thoughts that come to mind. How would you explain this to someone sitting in front of you. Write this down. Then do this for each term/definition, assumption, and principle.

Exercise 3.38: Calculate 5 + 3 × 2

Exercise 3.39: Calculate (6-2)×2+3

Exercise 3.40: Calculate l3_103.png.

Exercise 3.41: Calculate 10-2×(5+3)÷4.

Exercise 3.42: Calculate 8÷2×(2+3)+15×3-15.

Irrational Numbers

Now that we have square roots, very quickly we will realize that the square root of any rational number is not always a rational number. We can call some of these irrational numbers, since they are not expressed as a simple fraction or ratio of two integers, and their decimal representations go on infinitely without repeating. In arithmetic, we often encounter them when dealing with square or cube roots of numbers that aren’t perfect squares or cubes. For example, consider l3_104.png; if we attempt to calculate it, we find that l3_105.png and l3_106.png, so l3_107.png must be somewhere between 1 and 2. However, no matter how many decimal places we calculate, like 1.41421356..., it never repeats or terminates. The arithmetic of irrational numbers often involves approximations or recognizing their unique, non-repeating nature in calculations.

Real Numbers

The set of all rational numbers combined with the set of all irrational numbers produces what we call the set of real numbers, denoted by the double-struck R, R.

The Imaginary Unit

We cannot close the real numbers under the square root operation. For example l3_108.png, there is no real number whose square is -1. We must invent a new kind of number for this, and l3_109.png is symbolized by the symbol i, we will use the double-struck i, i. This is called the imaginary unit.

Imaginary Numbers

Imaginary numbers extend the realm of arithmetic beyond what we conventionally deal with in real numbers. They are introduced when we try to solve the  expression l3_110.png. If we want to solve l3_111.png, we say l3_112.png. Arithmetic with imaginary numbers involves rules like l3_113.png, and operations such as addition follow normal rules, but multiplication gets interesting. For example, if you multiply two imaginary numbers, say 3i and 2i, you get l3_114.png, resulting in a real number. When adding or subtracting, like 3 i + 5 i, the sum is straightforward: 8 i.

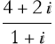
Complex Numbers

Complex numbers extend arithmetic by including  i. One way to write a complex number is real number 1 + real number 2 × i.. They add, like

l3_115.png

They subtract like

l3_116.png

We can multiply them,

(2 + i)(3 -i) = 2× 3 + 2 × (-i) + 1 × 3 + 1 × (-i) = 6 - 2i + 3 - i = 9 - 3i.

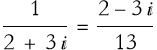
What happens if we have the reciprocal of a complex number, l3_117.png, this results in a denominator whose value is the sum of the squares of real number 1 and real number 2, in this case we have l3_118.png and the numerator is the a similar complex number where the sign of real number 2 is now the opposite sign (we call this a complex conjugate), so we have l3_119.png. Division is done this way,

l3_120.png.

Terms and Definitions

Term/Definition 3.93 Irrational numbers: Numbers that cannot be expressed as a ratio of two integers; their decimal expansions are infinite and non-repeating (e.g., l3_121.png ≈ 1.41421356…).

Term/Definition 3.94 Real numbers: The set combining all rational and irrational numbers; denoted by R.

Term/Definition 3.95 Imaginary unit: The symbol i (or i) defined as l3_122.png; satisfies l3_123.png = -1.

Term/Definition 3.96 Imaginary numbers: Multiples of the imaginary unit (e.g., 3i, -2i).

Term/Definition 3.97 Complex numbers: Numbers of the form 3 + 4 i where i is the imaginary unit.

Term/Definition 3.98 Complex conjugate: For a complex number 3 + 4 i, its conjugate is 3 - 4 i (sign of imaginary part flipped).

Assumptions

Assumption 3.67: Not all square roots (or higher roots) of rational numbers are rational—some are inherently irrational.

Assumption 3.68: Irrational numbers have non-terminating, non-repeating decimal expansions.

Assumption 3.69: Real numbers are insufficient for closing under square roots (negative numbers have no real square root).Inventing l3_124.png resolves the issue and extends arithmetic consistently.

Assumption 3.70: Division of complex numbers requires rationalizing via the conjugate to yield another complex number.

Principles

Principle 3.52: Combine rationals and irrationals to form real numbers (R)—the continuum of all decimal-expandable numbers.

Exercise 3.43: Begin with Term/Definition 3.81 and copy it into your notebook. Reflect on its meaning for a few minutes. Note any thoughts that come to mind. How would you explain this to someone sitting in front of you. Write this down. Then do this for each term/definition, assumption, and principle.

Exercise 3.44: Calculate (3+4i)+(5+2i).

Exercise 3.45: Calculate (7-4i)-(2+5i).

Exercise 3.46: Calculate 3i×4i.

Exercise 3.47: Calculate (2+3ii.

Exercise 3.48: Calculate (1+2i)×(3-i).

Exercise 3.49: Calculate l3_125.png.

Exercise 3.50: Calculate l3_126.png.

Logarithms

Logarithms are another inverse operation of exponentiation, much like roots. For example, if l3_127.png then l3_128.png. Similarly, if you want to find the square root of 9, which is l3_129.png, the logarithm counterpart would be l3_130.png. The root gives you the base of the result of a square, the logarithms gives you the exponent of the result given the base.

Rules of Logarithms

There are five rules for logarithms.

Rule 1: The logarithm of a product is the sum of the logarithms. l3_131.png.

Rule  2: The logarithm of a quotient is the difference of the logarithms. l3_132.png.

Rule 3: A logarithm raised to a power is the product of the power and the logarithm. l3_133.png.

Rule 4: The logarithm of 1 in any base is 0.

Rule 5: The logarithm of the result that is the same as the base is always 1. l3_134.png.

Terms and Definitions

Term/Definition 3.99 Logarithms (or log): The inverse operation to exponentiation; l3_135.png4 is the exponent to which base 2 must be raised to produce 4.

Term/Definition 3.100 Base (of logarithm): The number 2 in l3_136.png4.

Assumptions (the implicit beliefs the author relies on)

Assumption 3.71: Logarithms are fundamentally the inverse of exponentiation.

Assumption 3.72: Roots can be expressed as fractional exponents, and logarithms are the corresponding inverse (exponent extraction).

Principles

Principle 3.53: Five inviolable rules for logarithms:  

Rule 1 (product): l3_137.png.  

Rule 2 (quotient): l3_138.png.  

Rule 3 (power): l3_139.png.

Rule 4: The logarithm of 1 in any base is 0.

Rule 5: The logarithm of the result that is the same as the base is always 1. l3_140.png.

Exercise 3.51: Begin with Term/Definition 3.99 and copy it into your notebook. Reflect on its meaning for a few minutes. Note any thoughts that come to mind. How would you explain this to someone sitting in front of you. Write this down. Then do this for each term/definition, assumption, and principle.

Exercise 3.52: Calculate l3_141.png.

Exercise 3.53: Calculate l3_142.png.

Exercise 3.54: Calculate l3_143.png.

Exercise 3.55: Calculate l3_144.png.

Exercise 3.56: Calculate l3_145.png.

Exercise 3.57: Calculate l3_146.png.

Exercise 3.58: Calculate l3_147.png.

Exercise 3.59: Calculate l3_148.png.

Problem 3.60: Think about how combining rules 5 and 3 combine to make it easy to estimate many logarithms. Give some examples.

Summary

Make a summery of this chapter.

For Further Study

The Numberphile channel on YouTube. youtube.com/@numberphile .

A. Albert Klaf, (1964), Arithmetic Refresher, Dover Publications. This is a detailed survey of all of these topics and more.

Robert G. Moon, Arthur H. Konrad, Gus Klentos, Joseph Newmyer, Jr., (1977), Basic Arithmetic, 2nd Ed. Charles E. Merrill Publishing Company. A very good book.

Julie Miller, Molly O’Neill, Nancy Hyde, (2009), Basic College Mathematics, 2nd Ed. McGraw-Hill Higher Education. Reasonably good and covers more topics than I introduce here.

J. E. Thompson, Max Peters, (1931), Arithmetic for the Practical Man. D. Van Nostrand Company, Inc. (Third edition published in 1962). This is the first volume of a series of six books. Very good. Richard Feynman used these books to teach himself mathematics.

Created with the Wolfram Language