Lesson 15 Trigonometry

“The laws of nature are written in the language of mathematics, and its characters are triangles, circles, and other geometric figures.”  Galileo Galilei

“Trigonometry is the bridge between the circle and the line, between the eternal rotation of the heavens and the straight paths of falling stones.” Inspired by Newton and Euler.

Introduction

We have spent many pages building the language of sets, relations, functions, and numbers. Now we turn to something that feels almost magical in its power and simplicity. Triangles, not just the shapes you drew in lesson 12, but the deep idea that lies inside every triangle: a fixed relationship between angles and sides that never changes, no matter how large or small the triangle becomes. This relationship is called trigonometry. At its heart, trigonometry is the study of how angles and lengths speak to each other. It began with surveyors measuring land and astronomers tracking planets. But it quickly became the language in which physics describes waves, oscillations, rotations, and circular motion.

Think of a swinging pendulum. Think of a planet moving in its orbit. Think of a sound wave traveling through air. Think of an alternating current in a wire.

All of these phenomena repeat. All of them involve circles or repeating cycles. And all of them are governed by the same handful of simple ratios that live inside every right triangle.

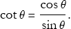
We call those ratios sine, cosine, and tangent.

In this lesson we will not treat trigonometry as a bag of formulas to memorize. Instead, we will treat it as a natural extension of the functions we have already studied. We will see how a single angle can determine an entire family of related quantities, and how those quantities let us describe the periodic world with surprising precision. By the end of this lesson you will understand why the same mathematical tool that measures the height of a mountain also describes the motion of a tuning fork, the voltage in your wall socket, and the light reaching your eyes from a distant star. Trigonometry is not just about triangles. It is about periodicity, about rotation, about the hidden circular order that underlies so much of the physical universe.

Trigonometric Functions on a Triangle

It might be a good idea to review Lesson 12.

We begin with the simplest possible picture. Draw a right triangle. One angle is 90 degrees. Let the other acute angle be θ. The side opposite θ we call “opposite.” The side next to θ (but not the hypotenuse) we call “adjacent.” The longest side, opposite the right angle, is the hypotenuse. Now ask a simple question: how are these three sides related to the angle θ? The answer is surprisingly clean and powerful. Three basic ratios emerge.

Sine of θ is the ratio of the opposite side to the hypotenuse, we can write this sin θ = opposite / hypotenuse. If we apply the symbol a for opposite andc for the hypotenuse we can write this l15_1.png.

Cosine of θ is the ratio of the adjacent side to the hypotenuse, we can write this cos θ = adjacent / hypotenuse. If we apply the symbol b for adjacent andc for the hypotenuse we can write this l15_2.png.

Tangent of θ is the ratio of the opposite side to the adjacent side, we can write this tan θ = opposite / adjacent.. If we apply the symbol a for opposite and b for the adjacent side, we can write this l15_3.png.

These three definitions are not arbitrary. They come directly from the geometry of the triangle. For any right triangle with acute angle θ, no matter how big or small it is, these three ratios stay exactly the same as long as θ stays the same.

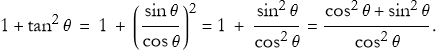
That is the heart of trigonometry. If you fix the angle θ, the sine, cosine, and tangent are completely determined. They do not depend on the size of the triangle—only on the angle. This is why we can treat sine, cosine, and tangent as functions of the angle θ. We write them as sin(θ), cos(θ), tan(θ). Each is a function that takes an angle and returns a pure number between certain values. Sine and cosine always return values between –1 and 1. Tangent can take any real value. These three functions are the foundation. Everything else in trigonometry—identities, waves, oscillations, rotations—grows out of them.

l15_4.gif

Think of a simple physical example. A pendulum swings back and forth. At any moment, the angle it makes with the vertical determines how far it has moved sideways. That sideways displacement is proportional to the sine of the angle. The restoring force is proportional to the sine of the angle. The entire motion is governed by sine.

The same is true for a mass on a spring, a sound wave, or the voltage in an alternating current circuit. In each case, a single angle drives the behavior through sine or cosine.

We will soon see how these triangle-based definitions naturally extend to all angles, not just those inside right triangles. But the right triangle is where the idea begins.

Master these three ratios—sine, cosine, and tangent—and you hold the key that unlocks the mathematics of periodic motion, circular paths, and wave phenomena throughout physics.

Definitions

Definition 15.1 Sine of θ (in a right triangle): sin θ = opposite / hypotenuse.

Definition 15.2 Cosine of θ (in a right triangle): cos θ = adjacent / hypotenuse.

Definition 15.3 Tangent of θ (in a right triangle): tan θ = opposite / adjacent.

Definition 15.4 Trigonometric functions on a right triangle: The three functions sin(θ), cos(θ), and tan(θ) that take an acute angle θ and return a pure number determined by the ratios of the sides.

Principles

Principle 15.1 Principle of Angle Dependence: In any right triangle with acute angle θ, the three ratios (sine, cosine, tangent) depend only on the angle θ, not on the actual lengths of the sides.

Principle 15.2 Principle of Trigonometric Foundation: Sine, cosine, and tangent are the three basic ratios that arise naturally from the geometry of a right triangle. All further trigonometric ideas grow from these three definitions.

Theorems

Theorem 15.1: For any right triangle with acute angle θ, the values of sin θ, cos θ, and tan θ are completely determined by θ alone and remain constant regardless of the size of the triangle.

Proof of Theorem 15.1: We produce an idea-first proof. Consider any right triangle with acute angle θ. Draw two such triangles that have the same angle θ but different sizes. The larger triangle is simply a scaled-up version of the smaller one. All three sides of the larger triangle are multiplied by the same positive scaling factor, say k > 1. Now compute the three ratios in both triangles. For sine of the small triangle, sin θ = opposite / hypotenuse. For the large triangle we have,  sin θ = (k × opposite) / (k × hypotenuse) = opposite / hypotenuse.  The scaling factor k cancels out. The ratio is unchanged.

We see the same thing for cosine. For the small triangle: cos θ = adjacent / hypotenuse, for the large triangle we have, cos θ = (k × adjacent) / (k × hypotenuse) = adjacent / hypotenuse. Again, the scaling factor cancels.

For the tangent in the small triangle, tan θ = opposite / adjacent, for the large triangle: tan θ = (k × opposite) / (k × adjacent) = opposite / adjacent.  The scaling factor cancels once more.

Therefore, in any right triangle with acute angle θ, the three ratios sin θ, cos θ, and tan θ depend only on the angle θ. They do not change if the triangle is made larger or smaller.This holds for every right triangle with the same acute angle θ.

Hence sin θ, cos θ, and tan θ are well-defined functions of θ alone. QED

Exercise 15.1: Begin with Definition 15.1 and copy it into your notebook. Reflect on its meaning for a few minutes. Note any thoughts that come to mind. How would you explain this to someone sitting in front of you. Write this down. Then do this for each definition,  principle, theorem, and proof.

Exercise 15.2:
a) Draw a right triangle with acute angle θ. Label the opposite side, adjacent side, and hypotenuse.
     1) Write the definitions of sin θ, cos θ, and tan θ using these sides.
    2) Why do these three ratios depend only on θ and not on the size of the triangle?
b) Consider a right triangle where the opposite side to θ is 3 units and the hypotenuse is 5 units.
    1) Calculate sin θ, cos θ, and tan θ.
    2) If you double the size of the triangle (opposite = 6, hypotenuse = 10), do the values of sin θ, cos θ, and tan θ change? Explain why or why not.
c) A simple pendulum swings back and forth. At any moment, the angle θ it makes with the vertical determines its sideways displacement.  
    1) Which trigonometric function (sine, cosine, or tangent) is most directly related to this sideways displacement?
    2) Why does this make sense from the definition on a right triangle?
d) You have two different right triangles, both with the same acute angle θ = 30°. One triangle has hypotenuse 2, the other has hypotenuse 10.
    1) What can you say about their sine, cosine, and tangent values?
    2) Use the idea of scaling to explain your answer.
e) For any acute angle θ in a right triangle:  
    1) What is the possible range of values for sin θ?
    2) What is the possible range of values for tan θ?
    3) Why does sine never exceed 1 while tangent can become very large?
f) In alternating current circuits, the voltage varies with time according to a sine function.  
    1) Why is the sine function a natural choice for modeling this periodic behavior?
    2) How does the definition of sine on a right triangle help us understand why voltage can be positive or negative?

The Unit Circle and Periodic Functions

We have seen how sine, cosine, and tangent arise inside a right triangle. Now we take a bigger step.

Imagine a circle with radius 1 centered at the origin. This is the unit circle.

Place an angle θ at the center, measured from the positive x-axis. Let the ray at angle θ intersect the unit circle at a point (x, y).

That single point gives us everything we need. The x-coordinate is exactly cos θ. The y-coordinate is exactly sin θ.

This is the key insight: sine and cosine are no longer just ratios inside a triangle. They are coordinates on the unit circle.

l15_5.gif

Replace θ with a specific value (for example, θ = π/4) to see a concrete picture, or leave it symbolic.

As θ increases from 0 to 2π, the point (cos θ, sin θ) travels once around the unit circle.

This motion is periodic. After every full turn of 2π radians, the values of sine and cosine repeat exactly.

We say sine and cosine are periodic functions with period 2π.

Tangent is also periodic, but with period π.

Because the unit circle repeats every 2π, these functions repeat forever. This repeating behavior is exactly what we see in pendulums, waves, alternating currents, and planetary orbits.

The unit circle gives us a natural way to extend sine, cosine, and tangent beyond acute angles. We can now define them for any real angle θ—positive or negative, large or small.

When θ = 0, cos θ = 1, sin θ = 0  

When θ = π/2, cos θ = 0, sin θ = 1  

When θ = π, cos θ = -1, sin θ = 0  

When θ = 3π/2, cos θ = 0, sin θ = -1

And then it repeats.

This single picture—the unit circle—connects triangles to waves, angles to periodic motion, and geometry to the oscillating world around us. Master the unit circle, and you hold the key that unlocks the mathematics of everything that repeats.

Terms

Term 15.1 Unit Circle: A circle with radius 1 centered at the origin.

Definitions

Definition 15.5 Periodic function: A function f(θ) is periodic if there exists a positive number p (the period) such that f(θ + p) = f(θ) for all θ in the domain.

Principles

Principle 15.3 Principle of Periodicity: Because the unit circle repeats every full rotation of 2π radians, the functions sin(θ) and cos(θ) repeat their values every 2 π. Tangent repeats every π.

Exercise 15.3: Begin with Term 15.1 and copy it into your notebook. Reflect on its meaning for a few minutes. Note any thoughts that come to mind. How would you explain this to someone sitting in front of you. Write this down. Then do this for each definition,  and principle.

Exercise 15.4:
a) Imagine a unit circle centered at the origin. A ray at angle θ from the positive x-axis intersects the circle at a point (x, y).
     1) What are the coordinates of that point in terms of trigonometric functions?
    2) Why does this give us a way to define sine and cosine for any angle, not just acute angles inside a right triangle?
b) On the unit circle, consider the angles θ = 0, π/2, π, and 3π/2.
    1) What are the values of cos θ and sin θ at each of these angles?
    2)  Explain why these four points are special.
c) Consider an angle θ = 120° (which is greater than 90°).
    1) Using the unit circle, determine cos 120° and sin 120°.
    2) How does the unit circle definition allow us to find these values even though 120° is not an acute angle in a right triangle?

Trigonometric Graphs

We have defined sine, cosine, and tangent as functions of an angle θ. Now we look at what these functions look like when we graph them.

The graphs reveal a beautiful repeating pattern. This pattern is the signature of periodic behavior in nature.

Sine starts at 0 when θ = 0, rises smoothly to 1 at θ = π/2, falls back to 0 at θ = π, continues down to –1 at θ = 3π/2, and returns to 0 at θ = 2π. Then it repeats.

l15_6.gif


Cosine starts at 1 when θ = 0, falls smoothly to 0 at θ = π/2, continues to –1 at θ = π, rises to 0 at θ = 3π/2, and returns to 1 at θ = 2π. It also repeats every 2π.

l15_7.gif


Notice that the cosine graph is the sine graph shifted left by π/2. In other words, cos θ = sin(θ + π/2).

This shift relationship is one of the many beautiful connections between sine and cosine.

Tangent starts at 0 when θ = 0, rises steeply toward positive infinity as θ approaches π/2, jumps from negative infinity just after π/2, and repeats this pattern every π radians.

l15_8.gif


These graphs show us something profound. Sine and cosine are smooth, bounded waves that repeat forever. Tangent is unbounded and repeats twice as often.

In physics, we see these shapes everywhere, For example, the sideways displacement of a pendulum follows a sine wave. The voltage in household electricity follows a sine wave. The height of ocean tides and the motion of a mass on a spring all trace out sine or cosine curves.

The graphs make the abstract functions visible. They turn angles into pictures of motion and repetition.

Once you can recognize these three curves—sine, cosine, and tangent—you will start seeing them in nature and in every oscillating system you encounter.

Other Trigonometric Functions

We have met sine, cosine, and tangent. They are the three primary ratios that arise from the right triangle and the unit circle. Now we introduce their three companions.

These new functions are simply the reciprocals of the first three. They complete the set of six basic trigonometric functions.

Cosecant of θ is the reciprocal of sine and is is written csc θ = 1 / sin θ.

Secant of θ is the reciprocal of cosine and is written sec θ = 1 / cos θ.

Cotangent of θ is the reciprocal of tangent and is written cot θ = 1 / tan θ.

These definitions are straightforward. Wherever sine is zero, cosecant is undefined. Wherever cosine is zero, secant is undefined. Wherever tangent is zero, cotangent is undefined.

Because they are reciprocals, their graphs are closely related to the graphs of sine, cosine, and tangent, but they live in different places.

Here are the graphs of all six trigonometric functions shown together for comparison (from –2π to 2π)

l15_9.gif

Look at the patterns.

Cosecant has the same period as sine but is shifted and inverted. Secant has the same period as cosine but is shifted and inverted. Cotangent has the same period as tangent and is also its reciprocal.

These six functions together give us a complete toolkit for describing any periodic or angular relationship in physics. In alternating current, we often use sine and cosine for voltage and current. In mechanical vibrations, we may need cosecant or cotangent when dealing with certain resonances or phase relationships. In optics and wave mechanics, all six appear when we analyze amplitudes, intensities, and phase shifts.

The important point is this: all six functions come from the same simple geometric origin—the right triangle and the unit circle. Once you understand sine, cosine, and tangent, the other three are just their reciprocals.

Terms

Term 15.2 Reciprocal: The idea of “turning upside down” a ratio to get its partner function.

Definitions

Definition 15.6 Cosecant of θ: csc θ = 1 / sin θ.

Definition 15.7 Secant of θ: sec θ = 1 / cos θ.

Definition 15.8 Cotangent of θ: cot θ = 1 / tan θ.

Exercise 15.5: Begin with Term 15.2 and copy it into your notebook. Reflect on its meaning for a few minutes. Note any thoughts that come to mind. How would you explain this to someone sitting in front of you. Write this down. Then do this for each term and definition.

Exercise 15.6:
a) In a right triangle with acute angle θ, sin θ = 3/5.
     1) Find csc θ.
    2) Find cos θ and then sec θ.
    3) Explain why knowing one ratio immediately gives you its reciprocal.
b) Consider the graph of csc θ.
    1)  How is the graph of csc θ related to the graph of sin θ?
`    2)  Where does csc θ have vertical asymptotes? Why do they occur there?
c) On the unit circle, sin θ is the y-coordinate and cos θ is the x-coordinate.  
    1) What do csc θ and sec θ represent geometrically on the unit circle?
    2) Why does this geometric view make the reciprocal functions natural extensions?
d) Given that tan θ = 5/12 in a right triangle, find csc θ and sec θ without first finding sin θ or cos θ directly if possible. Show your steps.

Trigonometric Identities

We now know six trigonometric functions and how they behave on the unit circle. The next beautiful discovery is that these functions are not independent. They are linked by a handful of simple relationships that are valid for all defined angles called trigonometric identities.These identities are not arbitrary rules. They come directly from the geometry of the circle and the triangle. Once you understand them, you can simplify complicated expressions, solve equations, and describe physical waves with much greater ease.

Here are the most important identities, grouped by type.

Pythagorean Identities

These come from the equation of the unit circle (a direct rewrite of the Pythagorean theorem),

l15_10.png

(15.1)

The first of these is simply the Pythagorean theorem rewritten in the language of the unit circle,

l15_11.png

(15.2)

We also have these two identities.

l15_12.png

(15.3)

l15_13.png

(15.4)

Reciprocal Identities

These simply express the three reciprocal functions we introduced earlier:

l15_14.png

(15.5)

Quotient Identities

These show relationships involving the quotient of trigonometric functions.

l15_15.png

(15.6)

l15_16.png

(15.7)

Even-Odd Identities (Symmetry)

These identities express sign changes in the angle.

l15_17.png

(15.8)

l15_18.png

(15.9)

l15_19.png

(15.10)

l15_20.png

(15.11)

l15_21.png

(15.12)

l15_22.png

(15.13)

Cofunction Identities (complementary angles)

These relate the sine and cosine and the tangent and cotangent.

l15_23.png

(15.14)

l15_24.png

(15.15)

l15_25.png

(15.16)

l15_26.png

(15.17)

Sum and Difference Identities

l15_27.png

(15.18)

l15_28.png

(15.19)

l15_29.png

(15.20)

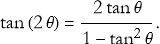
Double-Angle Identities

l15_30.png

(15.21)

l15_31.png

(15.22)

l15_32.png

(15.23)

Half-Angle Identities

l15_33.png

(15.24)

l15_34.png

(15.25)

These identities are not a random collection of formulas. They all grow naturally from the geometry of the unit circle and the definitions of the six functions.

In physics, we use them a lot. When we analyze alternating current, we often need to express power in terms of sine and cosine. When we solve wave equations or study interference, sum and difference identities become essential. When we simplify expressions involving squares of sine or cosine (as in energy calculations), the power-reduction identities save the day.

Master these identities and you will be able to move fluidly between different trigonometric expressions—exactly what is needed when describing real physical systems that involve rotation, oscillation, or wave phenomena.

The beauty is that all of these relationships come from one simple picture: a point moving around the unit circle.

Exercise 15.7:
a) Given that sin θ = 3/5 in a right triangle (with θ acute).
     1) Find csc θ, sec θ, and cot θ.
    2) Use the reciprocal and quotient identities to check your answers without drawing the triangle.
b) The even-odd identities tell us how the functions behave for negative angles.
    1)  State the even-odd identities for sine, cosine, and tangent.
`    2)  Why is cosine called an “even” function while sine is “odd”? Give a physical interpretation using a wave.
c) Use the sum identity for cosine to simplify cos(α + β).
    1) Write the identity for cos(α + β).
    2) Suppose α = 30° and β = 60°. Compute cos(90°) using the identity and verify it matches the known value.
d) The double-angle identities are especially useful in physics.
    1) Write the three common forms of the double-angle formula for cosine.
    2) In a physical system, the term cos(2θ) often appears in energy calculations. Why is it helpful to have multiple equivalent expressions for it?
e) Power-reduction identities help simplify expressions involving squares.
    1) Write the half-angle identities for l15_35.pngθ and l15_36.pngθ.
    2) Use one of them to show that l15_37.png (rederive the Pythagorean identity).
f) In alternating current, voltage is often l15_38.png.
    1) Use a trigonometric identity to express l15_39.png in terms of a constant plus a cosine term.
    2)  Why is this rewritten form useful when calculating average power?
g) You are given the identity tan θ = sin θ / cos θ.
    1) Derive the identity l15_40.png starting from the Pythagorean identity l15_41.png.
    2) Explain why mastering these identities allows you to move freely between different trigonometric expressions when solving real physics problems.

Inverse Trigonometric Functions

We have learned the six trigonometric functions and many identities that connect them. Now we ask the reverse question. Given a number, what angle produced it? This reverse question leads to the inverse trigonometric functions. They undo the action of sine, cosine, and tangent. Because sine, cosine, and tangent are not one-to-one over all real numbers, we must carefully choose restricted domains so that their inverses are well-defined functions.

Arcsine (or inverse sine), denoted arcsin(x) or l15_42.png, is defined on the angle θ between –π/2 and π/2 whose sine is x. So sin(arcsin(x)) = x for x∈[–1, 1].

Here is the graph of arcsin(x).

l15_43.gif

Arccosine (or inverse cosine), denoted arccos(x) or l15_44.png is defined on the angle θ between 0 and π whose cosine is x. So cos(arccos(x)) = x for x ∈ [–1, 1].

Here is the graph of arccos(x).

l15_45.gif

Arctangent (or inverse tangent), denoted arctan(x) or l15_46.png is defined on the angle θ between –π/2 and π/2 whose tangent is x. So tan(arctan(x)) = x for all real x.

Here is the graph of arctan(x).

l15_47.gif

These inverse functions return angles. They “undo” the original trigonometric functions within their restricted domains.

In physics we use them a lot. When we know the sideways displacement of a pendulum and want the angle, we use arcsin. When we measure a voltage and want the phase angle in an AC circuit, we use arctan. When we solve for the launch angle that gives a certain range in projectile motion, arccos or arcsin often appears.

The important point is this: inverse trigonometric functions give us the ability to go backward—from a measured value back to the angle that produced it. Because the original functions are periodic, the inverses are multi-valued in general. We choose the principal value (the restricted range) so that each inverse is a proper function.

Mastering arcsin, arccos, and arctan completes the cycle. We can now move freely forward and backward between angles and their trigonometric values—exactly what is needed when solving real physical problems involving waves, oscillations, and circular motion.

Definitions

Definition 15.9 Inverse trigonometric function: A function that returns an angle when given the value of a trigonometric function.

Definition 15.10 Arcsine (inverse sine), denoted arcsin(x) or l15_48.png: The function that gives the angle θ in the interval [−π/2, π/2] such that sin θ = x.

Definition 15.11 Arccosine (inverse cosine), denoted arccos(x) or l15_49.png: The function that gives the angle θ in the interval [0, π] such that cos θ = x.

Definition 15.12 Arctangent (inverse tangent), denoted arctan(x) or l15_50.png: The function that gives the angle θ in the interval [−π/2, π/2] such that tan θ = x.

Definition 15.13 Principal value: The single chosen value returned by an inverse trigonometric function. Because the original functions are periodic, many angles can produce the same value; the principal value is the one we agree to use by convention (the restricted range that makes the inverse a proper function).

Exercise 15.8: Begin with Definition 15.9 and copy it into your notebook. Reflect on its meaning for a few minutes. Note any thoughts that come to mind. How would you explain this to someone sitting in front of you. Write this down. Then do this for each definition.

Exercise 15.9:
a) Given sin θ = 0.6 and θ is between –π/2 and π/2.
     1) Find θ using the inverse sine function.
    2) Check your answer by computing sin of the result.
b) In a right triangle, the opposite side to angle θ is 5 units and the hypotenuse is 13 units.
    1)  Use the inverse sine function to find θ.
    2)  Then use the inverse cosine function to find the same angle and verify they agree.
c) A pendulum swings such that its maximum sideways displacement corresponds to sin θ = 0.4.
    1) Use the inverse sine function to find the maximum angle θ.
    2) Why is arcsin the appropriate inverse here?
d) You measure a value y = 0.8 and know it came from a cosine function.  
    1) Find the principal value of arccos(0.8).
    2) List two other angles (outside the principal range) that also have cosine equal to 0.8.

Simple Harmonic Motion

We have now learned the six trigonometric functions and their inverses. We are ready to see one of the most important applications in all of physics. Many systems in nature move back and forth in a very regular way. A pendulum swings, a mass on a spring oscillates, a tuning fork vibrates, and the voltage in an alternating current circuit rises and falls. All of these motions share the same beautiful mathematical pattern. We call this pattern simple harmonic motion.

The defining feature is that the restoring force (or acceleration) is proportional to the displacement from the equilibrium position and directed opposite to it. When we solve the equation that describes this motion, the solution turns out to be a sine or cosine function of time.

Let x(t) be the displacement from equilibrium at time t. For simple harmonic motion we have, x(t)=A cos⁡(ω t+φ) or equivalently x(t)=A sin⁡(ω t+φ). Here A is the amplitude (maximum displacement), ω is the angular frequency, and φ is the phase constant.

The motion is periodic with period T = 2π/ω.

Here is the graph of a simple harmonic motion with amplitude A = 1, angular frequency ω = 1, and phase φ = 0.

l15_51.gif

Notice how the displacement repeats every 2π units of time. This is the signature of simple harmonic motion.

We can also write the motion using sine.

l15_52.gif

The sine and cosine graphs are identical except for a shift of π/2 in the phase. This is why both forms are useful.

In a real physical system, we often need to find the angle (or phase) from a measured displacement. This is where the inverse trigonometric functions become essential.

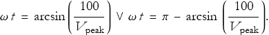
For example, if we measure the displacement x and know the amplitude A, we can solve for the phase using θ=arccos⁡(x/A) or θ=arcsin⁡(x/A).

Here is a static diagram showing both the cosine motion and the inverse cosine recovering the angle with A = 1; x = 0.6; θ = ArcCos[x/A];

l15_53.gif


Simple harmonic motion is one of the most common patterns in nature because any system with a linear restoring force will exhibit it (at least for small displacements). The mathematics of sine and cosine, together with their inverses, gives us the complete toolkit to describe, analyze, and predict this motion. Master simple harmonic motion and you will understand the heartbeat of countless physical systems—from clocks and musical instruments to atoms and electromagnetic waves.

Terms

Term 15.3 Oscillation: The repeated back-and-forth motion of a system around an equilibrium position.

Definitions

Definition 15.14 Simple Harmonic Motion (SHM): Motion in which the restoring force (or acceleration) is directly proportional to the displacement from equilibrium and directed opposite to it.

Definition 15.15 Displacement x(t): The position of the oscillating object relative to its equilibrium point at time t.

Definition 15.16 Amplitude A: The maximum displacement from equilibrium.

Definition 15.17 Angular frequency ω: A constant that determines how rapidly the motion repeats. It is related to the period T by ω = 2π / T.

Definition 15.18 Phase constant φ: A constant that determines the starting position within the cycle.

Definition 15.19 Equation of motion for SHM:  x(t)=A cos⁡(ω t+φ) or x(t)=A sin⁡(ω t+φ).

Definition 15.20 Period T: The time required for one complete oscillation T = 2π / ω.

Definition 15.21 Frequency f: The number of oscillations per unit time: f = 1 / T = ω / (2π).

Principles

Principle 15.4 Principle of Linear Restoring Force: Simple harmonic motion occurs whenever the restoring force is proportional to displacement and opposite in direction (this is called Hooke’s law in one dimension).

Principle 15.5 Principle of Sinusoidal Solution: The solution to the equation of motion for a linear restoring force is always a sine or cosine function of time.

Principle 15.6 Principle of Energy Conservation in SHM: The total mechanical energy (kinetic + potential) remains constant throughout the motion.

Principle 15.7 Principle of Period Independence: For small oscillations, the period of simple harmonic motion depends only on the system properties (mass and spring constant, length and gravity, etc.) and is independent of amplitude.

Exercise 15.10: Begin with Term 15.3 and copy it into your notebook. Reflect on its meaning for a few minutes. Note any thoughts that come to mind. How would you explain this to someone sitting in front of you. Write this down. Then do this for each term, definition, and principle.

Exercise 15.11:
a) The displacement in simple harmonic motion is often written as x(t) = A cos(ω t + φ).
    1) What do the symbols A, ω, and φ represent?
    2) Why is this equation a solution to the motion of a system with a linear restoring force?
b) A mass on a spring oscillates with angular frequency ω = 5 rad/s.  
    1)  What is the period T of the motion?
    2)  What is the frequency f in hertz?
    3) How many complete oscillations does it make in 10 seconds?

Trigonometric Functions in WL

We have seen how sine, cosine, and the other trigonometric functions describe simple harmonic motion and periodic phenomena in physics. Now we learn how to work with these functions directly in Wolfram Language.

In Wolfram Language, the basic trigonometric functions are written as Sin[], Cos[], and Tan[]. They expect the angle in radians, not degrees (but you can specify degrees).

Here are the most important commands:

l15_54.gif

Example 1: Plotting Simple Harmonic Motion

Suppose a mass on a spring oscillates with amplitude 1 and angular frequency ω = 2 rad/s. Its position is given by,

l15_55.gif


This produces the classic cosine wave we expect for simple harmonic motion.

Example 2: Using Inverse Functions

If we measure a displacement x = 0.6 (with amplitude 1), we can find the corresponding phase angle using the inverse cosine.

l15_56.gif

l15_57.png

We can verify this.

l15_58.png

l15_59.png

Example 3: Combining Functions

In many physical systems we need to combine sine and cosine. A common situation is expressing a shifted wave as a single sine or cosine with a phase. For instance, suppose we have a wave that can be written as

l15_60.png

(15.26)

We can rewrite this as a single cosine with a phase shift

l15_61.png

(15.27)

where the amplitude R and phase φ are given by, l15_62.png, tan ⁡φ=B/A. Here is Mathematica code that lets you explore this combination.

l15_63.gif


Notice that the two expressions produce exactly the same curve. The second form is often more convenient in physics because it clearly shows the amplitude and the phase shift.This technique of combining sine and cosine into a single sinusoidal function with a phase is used throughout wave mechanics, alternating current circuits, and oscillatory systems.


Example 4: Working with Degrees

If you prefer working in degrees, use the Degree symbol.

l15_64.gif

l15_65.png

l15_66.png

l15_67.png

These commands make it easy to explore trigonometric functions interactively. You can plot them, compute numerical values, solve equations, and animate motion—all within the same environment. The power of Wolfram Language is that it lets you move seamlessly between symbolic expressions, numerical calculations, and visual graphs. This is especially valuable when studying simple harmonic motion, waves, or any periodic phenomenon in physics.

Master these basic trigonometric commands, and you will be able to analyze real physical systems quickly and accurately.

Exercise 15.12:
a) In Wolfram Language, trigonometric functions are written as Sin, Cos, and Tan.
    1) Write the command to compute sin(π/6).
    2) What is the result? Why does it return an exact value instead of a decimal?
b) You want to compute the sine of 30 degrees.
    1)  Write the correct Wolfram Language command using Degree.
    2) Compare the result with Sin[π/6]. What do you notice?
c) Plot the function sin(θ) from θ = 0 to θ = 2π.  
    1) Write the Wolfram Language command to create this plot.
    2) Describe the shape you see and explain why it repeats.
d) A wave can be written as x[t] = 3 Cos[t] + 4 Sin[t].
    1) Rewrite this as a single cosine with amplitude R and phase φ using the identity from the section.
    2) Write Wolfram Language code to plot both the original and rewritten forms on the same graph to verify they match.
e) You measure a displacement x = 0.6 from a system with amplitude 1.
    1) Use ArcCos to find the corresponding phase angle θ.
    2) Verify your answer by computing Cos of the result.
f) The sideways displacement of a pendulum is proportional to sin(θ), where θ is the angle from vertical.
    1) Write a command to plot sin(θ) for θ from 0 to 2π.
    2) Explain why this shape matches the expected motion of a pendulum for small angles.
g) You have a phase angle of 45 degrees.
    1) Convert it to radians using Wolfram Language.
    2) Compute sin and cos of that angle.
    3) Verify that the results match the known values for 45°.
h) Plot both Sin[t] and Cos[t] on the same graph from t = 0 to t = 4π.  
    1) Write the command.
    2) Explain why the two curves have the same shape but are shifted relative to each other.
i) In an alternating current circuit, voltage is often modeled as V(t) = V₀ Sin(ω t + φ).  
    1) Write a Wolfram Language command to plot this for V₀ = 120, ω = 2π*60 (60 Hz), and φ = 0.
    2) Why is the sine function a natural choice for modeling AC voltage?

Oblique Triangles

So far we have worked only with right triangles. Now we take the next step. Many triangles in nature and in physics do not have a right angle. We call these oblique triangles—triangles with no 90-degree angle.

The good news is that the same trigonometric ideas still work. We just need two powerful new relationships.

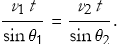
Theorem 15.1 The Law of Sines: In any triangle, the ratio of the length of a side to the sine of its opposite angle is the same for all three sides.

l15_68.png

(15.28)

Proof of Theorem 15.1: We produce an idea-first proof. Drop an altitude from one vertex to the opposite side. This creates two right triangles that share the same height. The sine ratios in those right triangles will give us the relationship we need.

Consider triangle ABC. Drop a perpendicular from vertex A to side BC, meeting BC at point D.

l15_69.gif

l15_70.png

Let the length of AD be h, for height. We now have two right triangles: ABD and ACD. In right triangle ABD (assuming D is between B and C) we can label the segment AC as c, so,

l15_71.png

(15.29)

In right triangle ACD we can label the segment AB as b, so,

l15_72.png

(15.30)

Since both expressions equal the same height h, we have,

l15_73.png

(15.31)

Rearranging gives,

l15_74.png

(15.32)

Now repeat the process by dropping an altitude from another vertex (say from B to side AC). You will obtain

l15_75.png

(15.33)

Combining all three ratios, we get the full Law of Sines.

What if the triangle is obtuse? If one angle (say angle C) is obtuse, the altitude from A may fall outside the triangle. However, sin(180° – C) = sin C, so the same relationships hold. The proof still works because the sine of an obtuse angle equals the sine of its supplement.

Conclusion: The Law of Sines holds for any triangle—acute, right, or obtuse—because it ultimately rests on the definition of sine in right triangles and the fact that the height h is the same for the split parts of the original triangle. QED

This law is especially useful when we know two angles and one side, or two sides and a non-included angle. The Law of Sines says that bigger angles face bigger sides, and the ratio stays constant across the whole triangle. It is like a universal scaling rule for any triangle.

Theorem 15.2 The Law of Cosines: This generalizes the Pythagorean theorem to all triangles. For a triangle ABC with sides a, b, c and opposite angles A, B, C,

l15_76.png

(15.34)

Where we can apply this to other sides by cyclic permutations.

Proof of Theorem 15.2: We produce an idea-first proof. As in the proof of Theorem 15.1 we drop a perpendicular from vertex C to side AB (or its extension). Once again we split the triangle into two right triangles. We will apply the Pythagorean theorem in those right triangles and combine the results.

Consider triangle ABC. Let side c be opposite angle C. Drop a perpendicular from C to side AB, meeting AB at point D. Let the length of the altitude be h, and let AD = x. Then DB = c – x if D is between A and B (the proof works similarly if the triangle is obtuse).

Case 1: Acute angle C (D lies between A and B)In right triangle ACD:

l15_77.png

(15.35)

In right triangle BCD

l15_78.png

(15.36)

Substitute l15_79.png from the first equation

l15_80.png

(15.37)

Expand the right side

l15_81.png

(15.38)

Solve for the term with x

l15_82.png

(15.39)

In right triangle ACD we also have

l15_83.png

(15.40)

Substitute this expression for x in (15.39)

l15_84.png

(15.41)

or

l15_85.png

(15.42)

Rearrange this,

l15_86.png

(15.43)

This is the Law of Cosines for side a opposite angle A. By symmetry it holds for the other sides as well.

Case 2: Obtuse angle C

If angle C is obtuse, point D falls outside segment AB. In this case, cos C is negative, and the term −2b c cos C becomes positive, which correctly lengthens the side opposite the obtuse angle. The algebra works out identically because the cosine of an obtuse angle is negative.

Special Case: Right angle C = 90°

When C = 90°, cos 90° = 0, so the formula reduces to the Pythagorean theorem

l15_87.png

(15.44)

Conclusion: The Law of Cosines is a direct generalization of the Pythagorean theorem. It holds for every triangle—acute, right, or obtuse—because it arises naturally from splitting the triangle with an altitude and applying the Pythagorean theorem in the resulting right triangles. QED

The Law of Cosines tells us how the sides and angles are related when we know two sides and the included angle, or all three sides. The extra term −2a b cos C corrects for the fact that the angle is not a right angle.

These two laws together let us solve any triangle, whether it has a right angle or not.

Surveyors use the Law of Sines to measure distances across rivers or valleys where they cannot form a right triangle. In mechanics, when forces act at arbitrary angles, the Law of Cosines helps find the resultant force. In navigation and astronomy, both laws are used to compute distances and angles between celestial bodies.

The beauty is that the same mathematics that works for a right triangle extends naturally to all triangles. The right triangle was only the beginning. Master the Law of Sines and the Law of Cosines, and you can solve virtually any triangle problem you will meet in physics or engineering.

Exercise 15.13: Begin with Theorem 15.1 and copy it into your notebook. Reflect on its meaning for a few minutes. Note any thoughts that come to mind. How would you explain this to someone sitting in front of you. Write this down. Then do this for each theorem, and proof.

Exercise 15.14:
a) State the Law of Sines for a triangle with sides a, b, c opposite angles A, B, C.
    1) Write the formula.
    2)  In your own words, explain what the law tells us about the relationship between sides and opposite angles.
b) In triangle ABC, angle A = 40°, angle B = 65°, and side a = 12 units.
    1) Use the Law of Sines to find side b.
    2) Find side c.
c) In triangle ABC, side a = 8, side b = 10, and included angle C = 120°.
    1) Use the Law of Cosines to find side c.
    2) Why is the Law of Cosines the appropriate tool here instead of the Law of Sines?
d) You are given different information about a triangle. For each case, decide whether to use the Law of Sines or the Law of Cosines, and explain why.
    1) Two angles and one side.
    2) Two sides and the included angle.
    3) All three sides.

Proving Identities

We have now collected a rich set of trigonometric tools: the six basic functions, the unit circle, graphs, inverse functions, the Law of Sines, and the Law of Cosines.  The next skill is learning how to prove that one trigonometric expression is equal to another. We call this proving identities.

Proving an identity means showing that two expressions are equal for all angles where both are defined. It is not enough to check a few numerical values. We must show it holds in general.

We can develop a general strategy. Start with one side of the equation. Use known identities, algebraic manipulation, or geometric facts to transform it step by step until it matches the other side.  You may work on either side, or both sides simultaneously, as long as every step is reversible.

Example 1: A Simple Pythagorean Proof

Prove that l15_88.png. Start with the left side

l15_89.png

(15.45)

We know from the unit circle (or the basic Pythagorean identity) that

l15_90.png

(15.46)

so,

l15_91.png

(15.47)

Done.

Example 2: Using Sum Identities

Prove: sin⁡ (α+β)=sin ⁡α cos ⁡β+cos ⁡α sin ⁡β.

Consider the points at angles α and α + β on the unit circle. The straight-line distance between them depends on the angle β between the rays. Using the law of cosines in the triangle formed by the origin and the two points gives the cosine difference identity. The sine sum identity then follows by using the cofunction relation sin⁡θ=cos⁡(π/2−θ) or by considering the y-coordinates directly. A more elementary algebraic proof starts from the angle addition on the unit circle and expands using the definitions of sine and cosine as coordinates. See the section below for details.

In physics, we prove identities when we simplify equations of motion, combine wave terms, or derive conservation laws. A clean identity can turn a messy equation into something solvable.

The ability to prove trigonometric identities is like having a reliable map. It shows you that seemingly different expressions are actually the same path viewed from different angles.

Master this skill and you will move confidently through the mathematics of waves, oscillations, and rotating systems.

Exercise 15.15:
a) Prove that csc⁡ θ=1/sin⁡ θ  is consistent with the definition of cosecant as the reciprocal of sine, and show how it follows directly from the unit circle.
b) Prove the double-angle formula for cosine in the form l15_92.png. Start from the sum identity for cosine with α=β=θ.
c) In simple harmonic motion, the displacement can be written as x(t)=A cos⁡(ω t+φ). Prove that this is equivalent to x(t)=A cos⁡(ω t)cos ⁡φ−A sin⁡(ω t)sin ⁡φ using the cosine sum identity. Explain     why this rewritten form is sometimes useful when analyzing the initial conditions of an oscillating system.

Prove the Pythagorean Identity

We will produce an idea-first proof. The identity comes directly from the geometry of the unit circle. Any point on the unit circle satisfies the equation of a circle with radius 1 centered at the origin.

Consider the unit circle. A ray at angle θ from the positive x-axis intersects the circle at the point (cos θ, sin θ).

By the definition of a circle with radius 1, every point (x, y) on the circle obeys l15_93.png.

Then substitute the coordinates from the unit circle to get l15_94.png. That is exactly the Pythagorean identity.

Why does it hold for all θ? The unit circle definition of sine and cosine works for any real angle θ—positive or negative, greater than 2π, or anywhere on the circle. The equation l15_95.png is true for every point on the circle, so the identity holds for every θ. This geometric proof shows that the Pythagorean identity is not an arbitrary rule—it is a direct consequence of the distance from the origin being exactly 1 on the unit circle. QED

Prove the Sum and Difference Identities

We will create an idea-first proof. The sum formula comes from rotating one angle and then adding another. We can prove it using the distance formula on the unit circle and the Law of Cosines. Consider the unit circle. The point at angle α has coordinates (cos α, sin α). The point at angle α + β has coordinates (cos(α + β), sin(α + β)). We can also think of reaching this final point by first going to angle β and then adding angle α.

To compare the two paths, calculate the straight-line distance between the point at angle α and the point at angle α + β. This distance depends only on the angle β between the two rays.

Using the distance formula between two points on the unit circle

l15_96.png

(15.48)

Expand this expression

l15_97.png

(15.49)

Group the squared terms using the Pythagorean identity twice

l15_98.png

(15.50)

Now use the law of cosines on the triangle formed by the origin and the two points on the unit circle. The two sides are both length 1, and the included angle between them is β. The chord length squared is

l15_99.png

(15.51)

Set the two expressions for l15_100.png equal

l15_101.png

(15.52)

Simplify

l15_102.png

(15.53)

A similar argument for using the cofunction identity sin θ = cos(π/2 – θ), yields the sine sum identity

l15_103.png

(15.54)

For the Difference Identities replace β with –β. Since cos(–β) = cos β and sin(–β) = –sin β, we immediately get

l15_104.png

(15.55)

l15_105.png

(15.56)

Exercise 15.16:
a) Fill in the missing details of the proof.

Project 15.17: Prove each trigonometric identity.

Trigonometric Equations

We have learned to prove identities—statements that are true for all angles. Now we turn to a different kind of problem, that of trigonometric equations.

A trigonometric equation asks us to find the specific angles that make a given statement true. Solving these equations is one of the most practical skills in trigonometry. In physics we often need to find the angle at which something happens—the launch angle for a projectile, the phase shift in a wave, or the time when a pendulum reaches a certain position.

We can establish a general strategy.

Use trigonometric identities to simplify the equation.  

Solve for the trigonometric function (get sin θ = something, cos θ = something, etc.).  

Use the inverse trigonometric functions to find the principal solutions.  

Add the appropriate multiples of the period to find all solutions.

Example 1: A Simple Equation

Solve:

l15_106.png

(15.57)

First divide both sides by 2

l15_107.png

(15.58)

We know from the unit circle that sin θ = 1/2 when θ = π/6 in the first quadrant. Because sine is positive in the second quadrant as well, another solution in [0, 2π] is θ = 5π/6.

Since sine has period 2π, the complete set of solutions is

l15_108.png

(15.59)

Example 2: Using a Sum Identity

Solve:

l15_109.png

(15.60)

Let φ = θ + π/4. Then the equation becomes

l15_110.png

(15.61)

The principal solutions are φ = π/4 and φ = 3π/4.

Substitute back,

l15_111.png

(15.62)

l15_112.png

(15.63)

Example 3: Quadratic in Trigonometric Form

l15_113.png

(15.64)

Solve:

Let u = cos θ. The equation becomes the quadratic

l15_114.png

(15.65)

We factor this to get

l15_115.png

(15.66)

So u = –1/2 or u = 1.

So,

l15_116.png

(15.67)

l15_117.png

(15.68)

In simple harmonic motion, we often solve equations like

l15_118.png

(15.69)

This requires finding t using the inverse cosine (arccos). The sum and difference identities help us rewrite the argument when the phase is complicated.

Trigonometric equations let us answer the question “when?” or “at what angle?” in physical systems. They turn the periodic nature of sine and cosine into precise predictions about timing and position.

Master solving trigonometric equations and you will be able to find the exact moments when physical events occur—from the peak of a wave to the time a pendulum reaches maximum displacement.

Exercise 15.18:
a) Solve, l15_119.png.
    1) Find the principal solutions using the inverse cosine.
    2) Write the complete general solution.
b) Solve the equation l15_120.png.
c) Solve sin (θ + π/6)  = 1/2.
    1) Use a substitution to simplify.
    2) Find all solutions in [0, 2π).
d) Solve sin 2 θ=cos θ.
e) The sideways displacement of a pendulum is given by x(t)=0.8sin⁡(2t), where t is in seconds. Find the first two positive times when the displacement is exactly 0.4 units.
f) Solve tan θ=-1.
    1) Find the principal solutions.
    2) Write the general solution.
    3) Explain why the period of the solutions is π rather than 2 π.
g) In an alternating current circuit, the voltage satisfies the equation l15_121.png.
    1) Rewrite the left side as a single sine function with a phase shift.
    2) Solve for ω t in one period.
    3) Explain why this kind of equation appears in AC circuit analysis.

AC Circuits

We have learned how to solve trigonometric equations. Now we apply that skill to one of the most important practical uses of trigonometry in physics, alternating current (AC) circuits. We have mentioned such circuits earlier in the chapter, now it is time to dig into it. In an AC circuit, the voltage and current do not stay constant. They oscillate back and forth in a smooth, repeating pattern. This pattern is described by sine and cosine functions.

A simple average of the voltage over one cycle is zero, because the positive and negative parts cancel out. But that zero value does not tell us how much energy the electricity can actually deliver. To get a useful measure, we use a special kind of average called the Root Mean Square, or RMS.

We square the voltage (making everything positive), take the average of those squares over one complete cycle, and then take the square root of that average. The result is a single number that tells us the “effective” value of the changing voltage—the value that would deliver the same amount of power to a resistor as a steady DC voltage of the same size.

For a sinusoidal voltage l15_122.png, the RMS voltage is:

l15_123.png

(15.70)

A typical household voltage can be written as

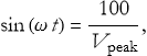
l15_124.png

(15.71)

where ω is the angular frequency (related to the frequency (f) by ω=2π f), and φ is the phase constant.

Here is the graph of a typical AC voltage with l15_125.png volts volts (corresponding to 120 V RMS) and 60 Hz frequency.

l15_126.gif


Notice how the voltage rises to a maximum, falls through zero, goes negative, and repeats 60 times every second.

In a simple circuit with a resistor, the current is in phase with the voltage,

l15_127.png

(15.72)

When the circuit also contains capacitors or inductors, the current and voltage are out of phase. The phase difference is described by another angle.

A common situation is when voltage and current differ by a phase angle φ. We can write

l15_128.png

(15.73)

Here is a diagram showing both voltage and current with a phase shift.

l15_129.gif


The blue curve is voltage. The red curve is current, lagging behind by angle φ.

To find the exact times when voltage or current reaches a certain value, we solve trigonometric equations such as

l15_130.png

(15.74)

l15_131.png

(15.75)

l15_132.png

(15.76)

Adding multiples of the period l15_133.png gives all solutions.

The power delivered to the circuit is not simply the product of the peak values. Because voltage and current are out of phase, we use trigonometric identities to find the average power. The instantaneous power is P(t)=V(t)I(t). Using product-to-sum identities or the cosine of the phase difference, we find the average power is l15_134.png, where cos⁡ φ is the power factor.

Trigonometric equations and identities allow us to predict exactly when the voltage crosses zero, when the current reaches its peak, and how much real power is delivered to a device.

Mastering AC circuits with trigonometry gives you the ability to analyze and design the electrical systems that power our modern world—from household outlets to large power grids.

The smooth sine waves you see on an oscilloscope (a device for visualizing the voltage in time in a circuit) are the same mathematics you have been studying in this lesson.

Terms

Term 15.4 Alternating Current (AC): Current that periodically reverses direction.

Definitions

Definition 15.21 Instantaneous voltage: The voltage at time t, l15_135.png.

Definition 15.22 Instantaneous current: The current at time t, l15_136.png.

Definition 15.23 Root Mean Square (RMS) value: The effective value of a varying voltage or current. For a sinusoidal waveform, l15_137.png, and l15_138.png.

Definition 15.24 Average power in an AC circuit: l15_139.png.

Principles

Principle 15.8 Principle of Sinusoidal Variation: In standard AC circuits, both voltage and current vary sinusoidally with time.

Principle 15.9 Principle of Phase Shift: When a circuit contains capacitors or inductors, voltage and current are generally out of phase by an angle φ.
Principle 15.10 Principle of RMS Equivalence: The RMS value of a sinusoidal waveform is the constant (DC) value that would deliver the same average power to a resistor.
Principle 15.11 Principle of Average Power: The average power delivered to a load depends on the RMS voltage, RMS current, and the cosine of the phase difference between them.

Exercise 15.19: Begin with Term 15.3 and copy it into your notebook. Reflect on its meaning for a few minutes. Note any thoughts that come to mind. How would you explain this to someone sitting in front of you. Write this down. Then do this for each term, definition, and principle.

Exercise 15.20:
a) Household voltage in the United States is often modeled as V(t)=170 sin ⁡(2π 60t) volts.
    1) What is the peak voltage?
    2) What is the frequency in hertz?
    3) What is the angular frequency ω?
b) A sinusoidal voltage has peak value l15_140.png.
    1) Calculate the RMS voltage.
    2) Explain why the RMS value is the number usually printed on electrical devices instead of the peak value.
c) The voltage in an AC circuit is given by V(t)=170 sin ⁡(377 t) volts.
    1) Find the voltage at t=0.
    2)  Find the first two positive times when the voltage is exactly +120 V.
d) In a circuit, the voltage is V(t)=170 sin ⁡(ω t) and the current is I(t)=10 sin ⁡(ω t−π/4).
.    1) What is the phase difference between voltage and current?
    2) Is the current leading or lagging the voltage?
e) A circuit has RMS voltage 120 V, RMS current 5 A, and phase difference l15_141.png.
.    1) Calculate the average power delivered to the load.
    2) What is the power factor cos ⁡φ?
f) The voltage across a device is V(t)=170 sin ⁡(377 t).  Find the smallest positive time t when the voltage reaches its maximum positive value.
g) The voltage in a circuit can be written as V(t)=100 cos ⁡(ω t)+50 sin ⁡(ω t).
    1) Rewrite this as a single sine function l15_142.pngsin ⁡(ω t+φ).
    2) Find the amplitude l15_143.png  and the phase shift φ.
h) In an AC circuit containing both a resistor and a capacitor, the current leads the voltage by 45°.
    1) Explain why a phase difference appears.
    2) If the RMS voltage is 120 V and the RMS current is 8 A, calculate the average power delivered to the circuit.
    3) Why is the average power less than the product of the RMS voltage and RMS current?

Geometric Optics

We have seen how sine and cosine describe the smooth oscillation of voltage and current in AC circuits. Now we use the same mathematics to understand how light travels and forms images.

Geometric optics treats light as rays that travel in straight lines and change direction when they pass from one medium to another or reflect off a surface. The key ideas are surprisingly simple and rely heavily on trigonometry.

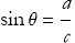
Law of Reflection

When a ray of light strikes a mirror, the angle of incidence l15_144.png (the angle the light ray strikes the mirror with) equals the angle of reflection l15_145.png,

l15_146.png

(15.77)

This is the same clean relationship we saw in right triangles and oblique triangles.

Refraction and Snell’s Law

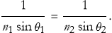
When light passes from one medium (such as air) into another (such as glass or water), it bends. The amount of bending is given by Snell’s Law

l15_147.png

(15.78)

where l15_148.png and l15_149.png are the indices of refraction of the two media, and l15_150.png and , l15_151.png are the angles measured from the normal (perpendicular) to the surface.

Here is a diagram showing a ray of light passing from air into glass.

l15_152.gif


Snell’s Law is a direct application of the Law of Sines in the small triangle formed by the incident ray, refracted ray, and the normal. The sine ratios capture how the wave fronts slow down in the denser medium, causing the ray to bend.

Lenses and Image Formation

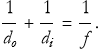
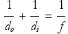
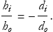
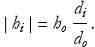
A convex lens bends parallel rays so they meet at a focal point. For thin lenses, the relationship between object distance l15_153.png, image distance l15_154.png, and focal length f is the lens equation

l15_155.png

(15.79)

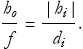
The magnification unfortunately uses the symbol m, the equation is

l15_156.png

(15.80)

These equations come from similar triangles and the geometry of ray tracing—again, pure trigonometry in disguise.

The same sine and cosine functions that describe oscillating voltage in an AC circuit also describe how light bends at interfaces and forms images in lenses and mirrors. In both cases, we solve trigonometric equations to find exact angles or positions.

Geometric optics gives us the tools to design eyeglasses, cameras, telescopes, and microscopes. It shows us how light carries information from distant stars or from tiny cells to our eyes and instruments.

Master the Law of Reflection, Snell’s Law, and the lens equation, and you hold the mathematical keys to understanding how we see the world—from the simplest mirror to the most advanced optical instruments.

The smooth sine waves of electricity and the straight rays of light are two sides of the same trigonometric coin.

Terms

Term 15.5 Light ray: A straight-line path along which light travels in geometric optics.

Term 15.6 Normal: The line perpendicular to a surface at the point where a ray strikes it.

Definitions

Definition 15.25 Angle of incidence l15_157.png): The angle between the incident ray and the normal.

Definition 15.26 Angle of reflection l15_158.png): The angle between the reflected ray and the normal.

Definition 15.27 Index of refraction (n): A measure of how much light slows down in a medium compared to vacuum.

Principles

Principle 15.12 Principle of Straight-Line Propagation: In geometric optics, light travels in straight lines (rays) in a uniform medium.

Principle 15.13 Principle of Refraction: Light bends when it passes from one medium to another because its speed changes. The amount of bending is governed by Snell’s Law.

Principle 15.14 Principle of Similar Triangles in Optics: Image formation in lenses and mirrors relies on similar triangles formed by rays and the optical axis.

Theorems

Theorem 15.3 Law of Reflection: In any reflection, l15_159.png.

Proof of Theorem 15.3: We will produce an idea-first proof. We use the method of images and similar triangles. The reflection law emerges naturally from symmetry.

Consider a mirror (the x-axis). Let point A be above the mirror and point B also above the mirror. We want the light path from A to the mirror to B that obeys the actual reflection behavior.

l15_160.gif

Step 1: Construct the mirror image

Drop a perpendicular from A to the mirror at point D. Extend the same distance below the mirror to create point A’, the mirror image of A. By construction, A’ is symmetric to A with respect to the mirror.

l15_161.gif

Step 2: Straight-line path

Draw the straight line from A’ to B. Let this line intersect the mirror at point P.

l15_162.gif

Because A and A’ are symmetric, the distance AP equals the distance A’P for any point P on the mirror.

Therefore, the broken path A → P → B has exactly the same total length as the straight line A’ → B.

Step 3: Show the angles are equal
Now look at the two right triangles formed at P, Triangle APD (above the mirror) and triangle A’PD (below the mirror) are congruent by construction (same height, same base segments due to symmetry).

Therefore, the angle that the incident ray AP makes with the normal at P equals the angle that the reflected ray PB makes with the normal at P.

That is, l15_163.png

This holds regardless of where A and B are located, as long as the surface is flat and smooth. QED

Theorem 15.4 Snell’s Law: l15_164.png for light passing from medium 1 to medium 2.

Proof of Theorem 15.4: We produce an idea-first proof. Light is a wave. When a wave front crosses from one medium to another, its speed changes, but the frequency stays the same. This speed change causes the wave front to bend. We can prove the exact relationship using geometry.

Imagine a plane wave front approaching the boundary between two media (air to glass, for example). Let the boundary be a straight horizontal line.

Consider two rays in the wave front, separated by a small distance. As the wave front crosses the interface, the part that enters the second medium first slows down (or speeds up), while the other part is still moving at the original speed.

Step 1: Draw the diagram

Let the incident ray make angle θ₁ with the normal.

l15_165.gif

The refracted ray makes angle θ₂ with the normal.

Consider one full wavelength of the wave. In time t, the wave travels a distance l15_166.png in medium 1 and l15_167.png in medium 2, where l15_168.png and l15_169.png are the speeds of light in each medium.

The distance along the boundary covered by the wave front must be the same for both parts.

In medium 1: the distance along the boundary is l15_170.png. In medium 2: the distance along the boundary is l15_171.png.

Since both describe the same segment along the interface

l15_172.png

(15.81)

The time t cancels

l15_173.png

(15.82)

Step 2: Introduce index of refraction

The index of refraction n is defined as n = c / v, where c is the speed of light in vacuum. Therefore v = c / n.

Substitute this

l15_174.png

(15.83)

The c cancels, giving

l15_175.png

(15.84)

or, rearranging

l15_176.png

(15.85)

QED

Theorem 15.5 Thin Lens Equation: For a thin lens, l15_177.png.

Proof of Theorem 15.5: We will produce an idea-first proof using similar triangles. We begin with a diagram. Thin convex lens at position 0 (optical center), treated as a single vertical line. Focal length F > 0 (converging lens). Object of height l15_178.png (> 0) placed at distance l15_179.png (> f) to the left of the lens. Light travels left to right. Real, inverted image of height l15_180.png (< 0) forms at distance l15_181.png (> 0) to the right. Use three standard paraxial rays (close to the optical axis, small angles) so that the ray parallel to the principal axis experiences refraction through the right focal point f’ (at +f). Then the ray through the center of the lens is undeviated (straight line). Ray through the left focal point f (at –f) emerges parallel to the principal axis.

l15_182.gif

Consider the large triangle formed by the object (height l15_183.png, base l15_184.png) and the corresponding large triangle on the image side (height l15_185.png, base l15_186.png).  The ray passing straight through the center of the lens connects the tip of the object to the tip of the image. This creates two triangles that share the angle at the lens with the principal axis (the angles at the base are both right angles or corresponding due to the straight ray).  Thus, the triangles are similar

l15_187.png

(15.86)

or, with the sign convention (inverted image):

l15_188.png

(15.87)

This can be thought of as lateral magnification.

We can rearrange this,

l15_189.png

(15.88)

Step 2: Second Pair of Similar Triangles (Using the Parallel Ray and Focal Point)

Now focus on the ray that enters parallel to the axis and refracts through F' after the lens.  This creates a small triangle on the image side: from the focal point F' to the lens (base f), with height corresponding to the deviation at the lens level. The corresponding large triangle goes from F' to the image tip (base l15_190.png, height l15_191.png). These two triangles are similar because they share the angle made by the refracted ray with the axis. The other angles are right angles or vertically opposite/ corresponding.

The similarity gives

l15_192.png

(15.89)

(Note: some textbooks label the triangles slightly differently—e.g., one version considers the combined height l15_193.png for the full triangle from the axis extension—but the ratio simplifies to the same relation.)

A common equivalent form (seen in many sources) is

l15_194.png

(15.90)

this is from magnification, redundant with Step 1), when combined with the focal version we get

l15_195.png

(15.91)


or the direct ratio from a parallel ray.

Step 3: Combine the Equations Algebraically

From equation (15.89) or the equivalent substitute l15_196.png from (15.88) into the focal relation.  A clean textbook-style combination that is widely used can be found from similarity involving the focal triangle

l15_197.png

(15.92)

or adjusted form yielding the same).

But more precisely, using the version with added heights or direct ratios occurs when you take

l15_198.png

(15.93)

and this depends on exact triangle labeling. Substitute l15_199.png from (15.88), cancel l15_200.png (assuming l15_201.png), rearrange term and then simplify

l15_202.png

(15.94)

This is the thin lens equation (in is Gaussian form). QED. Note that this is called a ray-tracing geometric derivation.

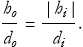
Theorem 15.6 Magnification Formula: The lateral magnification is l15_203.png.

Proof of Theorem 15.6: We will, again, employ a ray tracing geometric derivation. We can use the same diagram we just employed.

l15_204.gif

Draw the principal (optical) axis as a horizontal line. The object arrow stands upright on the left (base on axis, tip at height l15_205.png). The image arrow is inverted on the right (tip at height l15_206.png below the axis).

The central ray forms two right triangles. On the object-side triangle we have a base = l15_207.png (this is the object distance). The opposite side has height l15_208.png. The angle at the lens (with the principal axis) is θ (the angle the central ray makes with the axis). Image-side triangle has a base l15_209.png (representing the image distance). The opposite side (height) l15_210.png (we use absolute value here because height direction will be handled by the sign later). The same ray continues in a straight line, so it makes the same angle θ with the principal axis on the image side.

Because both triangles share the angle θ at the lens and both have a right angle at the axis (where the heights meet the axis), the triangles are similar by AA similarity (two angles equal).

Similarity Ratio.

For similar triangles, corresponding sides are proportional,

l15_211.png

(15.95)

this reduces to

l15_212.png

(15.96)

Accounting for Orientation (The Negative Sign)

If the object is upright, then l15_213.png is defined as positive. For a real image formed by a converging lens, the image is inverted, thus l15_214.png is negative (measured downward from the axis).

l15_215.png

(15.97)

The magnification m is defined as

l15_216.png

(15.98)

The negative sign tells us the image is inverted (real images from single converging lenses are inverted).

The absolute value l15_217.png gives the size ratio, if |m| > 1 the image is enlarged  and if |m| < 1 it is reduced.

Exercise 15.21: Begin with Term 15.5 and copy it into your notebook. Reflect on its meaning for a few minutes. Note any thoughts that come to mind. How would you explain this to someone sitting in front of you. Write this down. Then do this for each term, definition, principle, theorem, and proof.

Exercise 15.22:
a) A converging lens has focal length f=+12  cm. An object of height l15_218.png cm is placed at l15_219.png cm to the left of the lens.
    1) Calculate the image distance l15_220.png.
    2) Calculate the magnification m and image height l15_221.png.
    3) Describe the image (real/virtual, upright/inverted, enlarged/reduced).
b) Repeat Exercise a) but place the object at l15_222.png cm, f=+12 cm, l15_223.png cm.
    1) Find l15_224.png, m, and l15_225.png.
    2) Describe the image and explain why it cannot be projected onto a screen.
c) A diverging lens has focal length f=−15 cm. An object of height l15_226.png cm is placed at l15_227.png.
    1)  Calculate l15_228.png, m, and l15_229.png.
    2)  Describe the image. How does its behavior differ from a converging lens?
d) A converging lens produces a real image of an object when the object is 40 cm from the lens and the image is 24 cm from the lens on the other side.
    1) Use the thin lens equation to find f.
    2) Calculate the magnification and image height if l15_230.png cm.
    3) Verify consistency with a ray diagram sketch.
e) Show algebraically (using only the thin lens equation and the definition of magnification) that l15_231.png for any thin lens. Then use this form to solve the situation where an object is placed 18     cm from a converging lens that produces a magnification of −2.0. Find the focal length f.
f) A 2.5-cm-tall object is placed 25 cm in front of a converging lens with f=10 cm.
    1) Find l15_232.png and m
    2) If the calculated m is 0.67, explain what this tells you about the image size relative to the object.
    3) Suppose you move the object to l15_233.png cm. Predict qualitatively what happens to the image, then calculate the new l15_234.png and m.
g) A simple camera uses a converging lens with f=5.0 cm. To photograph a distant object (effectively l15_235.png), the film (representing the image plane) must be placed at a certain distance behind     the lens.


    1) Where should the film be placed? (What is l15_236.png?)
    2) If a closer object is 50 cm away, how far must the lens be moved forward or backward relative to the film to keep the image in focus? (Calculate the required change in lens-to-film             distance.)
h) You have two lenses. Lens A (converging, f=+20 cm) and Lens B (diverging, f=−20 cm). For each, place an object of height 6.0 cm at l15_237.png cm..
    1) For each lens, calculate l15_238.png, m, and l15_239.png.
    2) Sketch ray diagrams mentally or on paper and explain why one lens produces a real inverted image while the other always produces a virtual upright image, regardless of object position.
    3) Which lens could be used as a magnifying glass for reading small print? Why?

Complex Numbers and Trigonometry

In the geometric proof of the thin lens equation and magnification, we repeatedly used angles. The central ray (the orange ray in our diagram above) makes the same small angle θ with the optical axis on both sides of the lens. The similar triangles arose because

l15_240.png

(15.99)

for paraxial rays (rays close to the axis). This is ordinary trigonometry applied to heights and distances.

Complex numbers give us a powerful way to combine a length (or distance) with an angle into a single object. We will now develop the trigonometric form (also called the polar form) of a complex number and see how it simplifies multiplication, powers, and roots. All of this builds directly on the angles we have been using in ray diagrams.

Definition 15.28 Polar (Trigonometric) Form: Any complex number z=a+b i can be represented as a point in the plane, where the real axis is horizontal and the imaginary axis is vertical. The distance from the origin to the point is the modulus (or magnitude) r

l15_241.png

(15.100)

The angle θ that the line from the origin to the point makes with the positive real axis is the argument (or amplitude) of z, written arg(z) or θ. From basic trigonometry we know that

l15_242.png

(15.101)

Thus we can write

l15_243.png

(15.102)

This is the polar form or trigonometric form of the complex number.

Theorem 15.7 Multiplication in Polar Form:

Suppose we have two complex numbers in polar form

l15_244.png

(15.103)

l15_245.png

(15.104)

Their product is

l15_246.png

(15.105)

Using the angle-addition formulas from trigonometry, (15.18) and (15.19) this simplifies to

l15_247.png

(15.106)

This leads us to the rule that to multiply two complex numbers in polar form, multiply the moduli and add the arguments.

This is why polar form is so useful, multiplication becomes simple arithmetic on lengths and angles—the same quantities that appear naturally in ray diagrams.

Theorem 15.8 De Moivre’s Theorem: De Moivre’s theorem is the natural extension of the multiplication rule to powers. It states that if

l15_248.png

(15.107)

where n is any integer, then

l15_249.png

(15.108)

This theorem is extremely useful because it turns raising a complex number to a power into two simple operations: raise the modulus to the power and multiply the argument by the power. It follows naturally from the multiplication rule we saw earlier (multiply moduli, add arguments).

Proof of Theorem 15.8: We produce a proof by mathematical induction. We prove the theorem for all positive integers n using mathematical induction. This is the standard textbook method and requires only the angle-addition formulas from trigonometry.

Base Case (n = 1)

We have two sides to the equation, The left side is

l15_250.png

(15.109)

The right side is

l15_251.png

(15.110)

The two sides are identical, so the statement holds for n=1.

Inductive Hypothesis

Assume the statement is true for some positive integer k. That is, assume

l15_252.png

(15.111)

Inductive Step (show it holds for n = k + 1):

We need to prove

l15_253.png

(15.112)

Start with the left side

l15_254.png

(15.113)

Then we apply the inductive hypothesis to replace l15_255.png,

l15_256.png

(15.114)

Multiply the moduli and use the polar multiplication rule (or expand directly)

l15_257.png

(15.115)

Now apply the trigonometric addition formulas, (15.18) and (15.19) where A=k θ and B =θ. The expression inside the brackets becomes exactly

l15_258.png

(15.116)

Therefore,

l15_259.png

(15.117)

This is precisely what we needed to show for n=k+1.

Conclusion: The statement is true for n=1 (the base case). If it is true for any positive integer k, then it is also true for k+1 (the inductive step). By the principle of mathematical induction, De Moivre’s Theorem holds for all positive integers n.

Definitions

Definition 15.29 Modulus (Magnitude) of a Complex Number: The modulus of z=a+b i, denoted |z|  or r, is the distance from the origin to the point (a, b) in the complex plane, r=∣z∣=a2+b2.

l15_260.png

(15.118)

Definition 15.30 Argument (Angle) of a Complex Number: The argument of z, denoted arg(z) or θ, is the angle that the line from the origin to the point (a, b) makes with the positive real axis. It satisfies

l15_261.png

(15.119)

with care for the correct quadrant.

Definition 15.31 Principal Argument:  The principal value of arg(z) is usually taken in the interval (−π, π] (or [0, 2π) in some conventions).

Principles

Principle 15.15 Small-Angle (Paraxial) Approximation Principle: For small angles θ (in radians, typical of rays close to the optical axis),

l15_262.png

(15.120)

Corollary

Corollary 15.1 Roots of Complex Numbers: The equation l15_263.png, where z = r (cos θ + i sin θ), has exactly n distinct solutions (nth roots):

l15_264.png

(15.121)

The roots lie equally spaced on a circle of radius l15_265.png.

Proof of Corollary 15.1: We produce a direct proof. Let w be any complex number satisfying l15_266.png. Write w itself in polar form

l15_267.png

(15.122)

where s=∣w∣≥0 is the modulus of w and φ=arg⁡(w) is its argument.

Raise both sides to the nth power and apply De Moivre’s Theorem (Theorem 15.8)

l15_268.png

(15.123)

But we are given that l15_269.png, so

l15_270.png

(15.124)

Since two complex numbers written in polar form are equal if and only if their moduli are equal and their arguments differ by an integer multiple of 2π, we must have

l15_271.png

(15.125)

we take the positive real nth root because a modulus is always nonnegative. We must also have

l15_272.png

(15.126)

Solving for φ

l15_273.png

(15.127)

Therefore, every solution w must be of the form

l15_274.png

(15.128)

To show there are exactly n distinct roots, we need to check how many different values this expression produces as k varies over the integers.

When k increases by n, the argument increases by 2π, which gives the same complex number (angles are periodic with period 2π).

Therefore, the distinct roots correspond to k = 0, 1, 2, …, n−1. For these n consecutive integers, the arguments  θ+2π k n, k=0 to n1 differ by exactly 2π/n each time. No two are the same modulo 2π.

Hence there are precisely n distinct nth roots.

We can develop a geometric interpretation. In the complex plane, all nth roots lie on the circle of radius l15_275.png  centered at the origin. Starting from the root corresponding to k = 0, each successive root is obtained by rotating the previous one by an angle of 2π (or 360°/n). This equally spaced arrangement on a circle is a direct consequence of De Moivre’s Theorem and the periodicity of the argument.

Exercise 15.23: Begin with Definition 15.28 and copy it into your notebook. Reflect on its meaning for a few minutes. Note any thoughts that come to mind. How would you explain this to someone sitting in front of you. Write this down. Then do this for each  definition, principle, theorem, and proof.

Exercise 15.242:
a) Convert the following complex numbers to polar (trigonometric) form r(cos⁡θ+i sin⁡θ). Give the modulus r exactly and the argument θ in radians (principal value, −π<θ≤π).
    1) z = 3 + 4 i.
    2) l15_276.png.
    3) z = -2 - 2 i.
b) Let l15_277.png and l15_278.png.
    1) Use the polar multiplication rule (multiply moduli, add arguments) to find l15_279.png in polar form.
    2) Convert the result back to rectangular form a+b i and verify by direct multiplication in rectangular coordinates.
c) Use De Moivre’s Theorem to compute the following powers. Leave your answer in polar form.
    1) l15_280.png
    2)  l15_281.png
    3)l15_282.png (first convert to polar form).
d) Find all three cube roots of the complex number z=8(cos⁡(2π/3)+i sin⁡(2π/3)).
    1) Write each root in polar form using Corollary 15.1.
    2) Sketch the three roots in the complex plane (indicate the circle of radius l15_283.png and the angular spacing).
    3) Convert one of the roots to rectangular form.
e) Consider the complex number z=1+i.  
    1)  Write z in polar form.
    2) Find all square roots of z using Corollary 15.1.
    3) The two roots lie on a circle of radius l15_284.png. Calculate this radius numerically and determine the angular separation between the two roots.
    4)  If one root represents a direction vector in a ray diagram, what physical interpretation might the 90° rotation (multiplication by i) suggest in the context of optics? (Briefly discuss.)

Summary

Write a summery of this chapter.

For Further Study

Robert E. Moyer, Frank Ayres Jr., (2018), Trigonometry. McGraw-Hill Education, Schaum’s Outline Series, 6th Edition. This is a very complete coverage of the material relying on problems to teach the material.

I. M. Gelfand, M. Saul, (2001), Trigonometry. Birkhauser. A nice book written by a famous Russian mathematician. Very good exposition.

Trigonometry For Beginners! (The Organic Chemistry Tutor)
A straightforward introduction covering sine, cosine, tangent ratios, with plenty of examples and practice problems. Excellent starting point for right-triangle trigonometry used in your ray diagrams.
Link: https://www.youtube.com/watch?v=PUB0TaZ7bhA

Intro to the trigonometric ratios (Khan Academy)
Clear, concise explanation of sin, cos, and tan as ratios in right triangles (SOH-CAH-TOA). Perfect for reinforcing the similar-triangles geometry in your thin lens and magnification proofs.
Link: https://www.khanacademy.org/math/geometry-home/right-triangles-topic/intro-to-the-trig-ratios-geo/v/basic-trigonometry.

Trigonometry made easy (tecmath)
A friendly, step-by-step walkthrough that makes the basics feel approachable, with visual examples of triangles and angles. Great for building intuition before polar form.
Link: https://www.youtube.com/watch?v=GtpplO7xdqM .

Trigonometry fundamentals (3Blue1Brown – Lockdown Live Math Ep. 2)
A deeper, visual exploration connecting triangles to circles and the unit circle. Highly recommended for understanding why angles and rotations matter (useful lead-in to your polar form and argument discussions).
Link: https://www.youtube.com/watch?v=yBw67Fb31Cs.

Trigonometry full course for Beginners (Academic Lesson)
A comprehensive longer video (nearly 10 hours, but you can watch sections) that covers the full range from basics through identities and applications. Ideal as a self-paced reference alongside your lesson.
Link: https://www.youtube.com/watch?v=5zi5eG5Ui-Y.

Basic trigonometry (Khan Academy)
Another solid Khan Academy entry focusing on core concepts with clear visuals and examples. It reinforces small-angle ideas and triangle relationships relevant to paraxial rays in optics.
Link: https://www.youtube.com/watch?v=Jsiy4TxgIME.

Created with the Wolfram Language